[拼音]:Wo’ershi bijin
[外文]:Walsh approximation
借助于沃尔什函数系的逼近称为沃尔什逼近。1922年出现了拉德马赫尔函数,在工程上称为开关函数。这是一个以1为周期的标准正交系。在基本区间[0,1)上它们的定义如下:φ0(x)=1,若0≤x<1/2;φ0(x)=-1,若1/2≤x<1。对任一自然数n,
容易看出,对每个n,φn(x)在[0,1)的2
个等分区间上交错地取值1与-1。沃尔什函数系是拉德马赫尔函数系的完备化,首先由美国数学家J.L.沃尔什于1923年给出。如果把自然数n依二进表示为
其中
则沃尔什函数wn(x)的定义为
w 0(x)=1,
式中乘积是对一切满足n-j=1的j而取。系{wn(x)}同样以1为周期。例如,依二进制,13可表为13=23+22+20,故
,而有
。在工程上常用列率序的沃尔什函数。为此需要数的格雷码。设对集{0,1}引用伪加运算如下:
而对任意两个二进制实数
定义伪加
,这里求和由-N +1与-L+1中较小者开始。一个自然数
的二进代码是(n_N+1,…,n-1,n0),它的格雷码G(n)便是
对应的数是
,这里约定 n-N=0。反之,如果知道了自然数 k的格雷码
,则原来的数k的二进代码是
。
于是,列率序的沃尔什函数系就是{wαln(x)},其中
。利用格雷反码G -1(k),自然有
。在数学讨论中以系{wk(x)}为便,但在工程上则以列率序为便。下面列举依列率序的沃尔什函数系的一些性质。
(1)乘法公式 对任意k, j=0,1,2,…有
。
(2)第二乘法公式 对[0,1)中每个y,除有限个点不计外,关于x都有
(k=0,1,…)。
(3)在整个实轴上,除一个可列集不计外,wαl2k(x)是偶函数而wαl2k+1(x)是奇函数,k=0,1,…。此外,在周期区间[0,1)上,每个wαlk(x)的变号次数恰好是k,k=0,1,…。
(4)函数系{wαlk(x)}k=0,1,…构成[0,1)上的一个完备的标准正交系。
(5)函数系{wαlk(x)}k=0,1,…构成一个可换群。系中对每个n=0,1,…,前2n个函数{wαl0(x),wαl1(x),…,wαl
(x)}构成可换子群。
可将这些性质与正弦余弦函数相比较。正是由于性质④,每个以1为周期的可积函数,都有沃尔什-傅里叶展开式:
,
式中
它们称为ƒ(x)的沃尔什-傅里叶系数。如果用S
(x)表示展开式的首2n项部分和,那么,在区间[0,1)上几乎处处有收敛关系
。
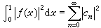
当ƒ(x)是平方可积时,像三角系情形一样,有帕舍伐尔公式成立:
,
并且,展开式的部分和也几乎处处收敛。一个有意义的例子是函数x依沃尔什系的展开式
。
它处处收敛并有很好的应用,例如锯齿波。在考虑逼近问题时,这样的逐段光滑函数用沃尔什展开比用三角级数展开,一般显得更为有效。
对任意整数 p>2,可以讨论一般的 p进沃尔什函数。还可以引进广义沃尔什函数与沃尔什-傅里叶变式。此外,如果引进所谓逻辑导数,就容易给出简单的沃尔什-傅里叶变式表。
设复数Aj=Aj(p), j=0,1,…, p-1由公式
给出,式中
在定义于 [0,∞)上的复值函数。若在这区间上一点x处,和
当N→∞时收敛,则极限值称为ƒ(x)在x的逻辑导数,并记为ƒ<1>(x)。逻辑导数与平常导数的作用颇为类似。例如,对于指数函数eitx,它对x的平常导数是iteitx。对于广义沃尔什函数w(t,x),关于x的逻辑导数有
等等。可以用逻辑导数存在的程度来刻画函数性质而得到一种分类法,这在逼近论中特别有用。在这里存在逻辑导数意味着具有某种“光滑性”。整个理论构成了p进域的分析学。尤其有趣的是,最佳逼近论中的正、逆定理,各种逼近算子的逼近性态与型可以同样建立,在方法论上显示它自身的特色。现代半导体技术与集成电路的快速发展,使沃尔什函数的产生与应用有了物质基础。快速沃尔什变换比快速傅里叶变换省时。在信息论、线性系统、通信、电视、雷达与计算机等方面,沃尔什分析都有或将有广泛的应用。沃尔什分析形成了非正弦分析的一个极为重要的方向。在理论上它直接通向局部紧群上调和分析。
- 参考书目
- 郑维行、苏维宜、任福贤著:《沃尔什函数理论与应用》,上海科学技术出版社,上海,1983。
- 郑维行、苏维宜: Walsh分析与逼近算子,《数学进展》,第12卷,第2期,1983。