[拼音]:Yakebi juzhen
[外文]:Jacobian matrix
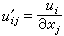
以m个n元函数uj=uj(x1,x2,…,xn)(i=1,2,…,m)的偏导数
(j=1,2,…,n)为元素的矩阵
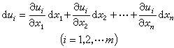
如果把原来的函数组看作由点x=(x1,x2,…,xn)到点u=(u1,u2,…,um)的一个变换T,则在偏导数都连续的前提之下,u随x的变化由相应的微分方程组
来描述。这是一个关于微分的线性方程组,其系数矩阵便是雅可比矩阵(J),因而可写成矩阵形式
这隐含着(J)具有微分系数的某些性质,类似于一元函数的导数。而在m=n=1的情形,它又恰好是一个一元函数的导数;所以它也是一个一元函数的导数到m个n元函数的一种推广。因此,(J)作为微分系数或导数的推广,有时也被当作变换T的“导数”看待并记为T┡(x)=(J)。
变换T的进一步的数量描述需要雅可比行列式。