[拼音]:xianxing fangchengzu
[外文]:system of linear eqations
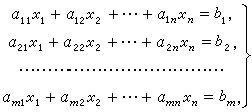
关于未知量是一次的方程组,其一般形式为
(1)
式中x1,x2,…,xn代表未知量,αij(1≤i≤m,1≤j≤n)称为方程(1)的系数,bi(1≤i≤m)称为常数项。系数和常数项都是任意的复数或某一个域的元素。
当常数项b1,b2,…,bn都等于零时,则方程组(1)称为齐次线性方程组。
方程组(1)的系数所构成的m行n列矩阵
称为方程组(1)的系数矩阵。在A中添加由常数项组成的列而得到一个m行n+1列矩阵
称为方程组(1)的增广矩阵。
如果在方程组(1)中,以一组复数或域F的元素с1,с2,…,сn代替未知量x1,x2,…,xn,每一个方程的两端相等,那么с1,с2,…,сn称为方程组(1)的一个解。
关于线性方程组,有以下主要结果。
(1)线性方程组(1)有解的充分必要条件是,系数矩阵A与增广矩阵凴有相同的秩。
(2)在A与凴有相同的秩r>0的情形下,A有一个r阶子式D不等于零,设
于是方程组(1)与仅含有前r个方程的方程组同解。可将前r个方程改写为
(2)
方程组(2)的一般解公式为
x1=D1/D,x2=D2/D,…,xr=Dr/D, (3)
式中Dj(j=1,2,…,r)是把D的第j列换成方程组(2)的右端的列所得到的一个r阶行列式,即
因而x1,x2,…,xr可由其余的未知量xr+1,xr+2,…,xn线性表出,xr+1,xr+2,…,xn称为自由未知量。
当r<n时,则任意给自由未知量的一组值,由(3)可求出x1,x2,…,xr的值即方程组(1)的一个解,此时方程组(1)的解不只一个。当r=n时,则方程组(2)不含自由未知量,由(3)给出方程组(1)的惟一解。当m=n=r时,公式(3)称为克莱姆规则。
线性方程组是最简单也是最重要的一类代数方程组。大量的科学技术问题,最终往往归结为解线性方程组,因此线性方程组的数值解法在计算数学中占有重要地位。