[拼音]:hamidun xitong
[外文]:Hamilton’s system
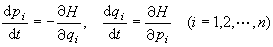
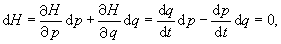
又称典型系统或正则系统或哈密顿典型系统(方程),常简记为H.S.。指如下形式的一阶微分方程系统
或简写为
是由英国科学家W.R.哈密顿于1835年引进,广泛应用于力学、物理学,形成了一整套的理论。上式中的p称为广义冲量(或动量),q称为广义坐标,(p,q)称为共轭变量,也称为典型变量,q空间称为构形空间,(p,q)空间称为相空间,H 则称为哈密顿函数。
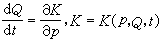
如H 中不含t,则(*)称保守系统;此时,
h=C
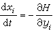
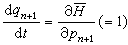
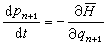
为系统的一个初积分,例如,T为动能,V为势能,则h=T+V=C表能量守恒定律。如H 中含t,取t=qn+1,并取
,即可得到不含t的啛 的H.S.:
,
,
,
。
所以,H 中不含t的哈密顿系统具有一定的广泛性。
(j.-)h.庞加莱曾在他的名著《天体力学新方法》(1892~1899)中暗示许多力学中的微分方程系统都可化成H.S.,但他只举出一些例子,没有证明。后来P.A.M.狄喇克证明下述结果(1935),对庞加莱的暗示作了很好的补充。设有
,令

即得H.S.:
,
。因此,研究H.S.理论就是研究一般的一阶正规型微分方程系统,只是引进了余切空间(y1,y2,…,yn)而已。
当H=H0(p),即只含p时,称为可积系统。因为
,而
,从而
,当q为角变量时,积分曲线在p=p0环面上。
典型变换
如果变换(p,q)凮(P,Q)把H.S.:
变为 H.S.:
,即方程(*)的形式不变,则此变换称典型变换。使用这种变换目的在于简化原来的系统,使K(P,Q,t)较之h(p,q,t)为简单,最简单的情况是使之变成
,则P=C1,Q=C2为其解,再从(P,Q)→(p,q)便得到原来H.S.的解。
给定函数ƒ(w,夵,t),w可以是向量函数,
,则
所对应的欧拉-拉格朗日方程(见变分法)为:
。令ƒ=p妜-h(p,q,t),w=(p,q),则所对应的欧拉-拉格朗日方程恰为
。如果作变换(p,q)凮(P,Q)使 pdq-PdQ =dφ,则这个变换就是一个典型变换。而对应的欧拉-拉格朗日方程是
,仍是哈密顿系统。同理,若使pdq+QdP=pdq-PdQ+d(PQ)=dφ,则(p,q)凮(P,Q)仍是一个典型变换,因pdq-PdQ=d(φ-PQ)。假定p, q都是P,Q,t的函数,如果特别取
,则
,从而
,所以
。新的哈密顿系统是
。若能选取S,使K=0,即
,即S(q,P,t)要满足哈密顿-雅可比方程
。如果S不含
,若H又不含t,则K(P,Q)=h[p(P,Q),q(P,Q)]。
卡姆 (KAM)理论
关于哈密顿系统方程组的解的稳定性理论。是由A.H.柯尔莫哥洛夫,Β.И.阿尔诺德和J.K.莫泽三人共同建立的(1954、1963),因而得名。他们严格证明了拟周期解的存在性,即几乎可积系统,有填满不变环的拟周期解存在。这是哈密顿系统,特别是它的定性理论的近代发展中的最重要的成就。
1889年由庞加莱所开创的哈密顿系统的定性理论中最深刻的结果是限制性三体问题中近圆形轨道的稳定性,这个结果的证明即来自KAM理论,从而使P.-S.拉普拉斯提出的,已历时200年的太阳系稳定性问题得到重要的突破。无论从微分方程方面,或从天体力学方面来看,这都是重大的贡献,得到广泛重视。
KAM理论很复杂,它的思想略述如下。
设有几乎可积系统:

,
充分小,
可取所有的正负整数值。KAM理论证明,在一定条件下,可选定一系列的典型变换:
,使
, 即最终得到的 H.S.为
,
,即可积系统。其积分为
。这表明积分曲线在一族环面上。
把变换倒过来,(P,Q)→…→(p,q),在一定条件下,有些环面只是被扭曲了,但并没有破裂。积分曲线中有的还在被扭曲了的环面上。特别,当环面是三维空间的环面,则积分曲线被围困在两相邻环面之间,无法逸出,显示出运动的拉格朗日稳定性。
- 参考书目
- C.L.Siegel,J. K.Moser,Lectures on Celestial Mechanics,Springer-Verlag,Berlin,1971.
- G.E.O.Giacaglia,Perturbation Methods in Nonlinear Systems,Springer-Verlag,New York,1972.