[拼音]:haimian xiangshang guangfushe
[外文]:radiation from the sea surface
包括光从海面向大气的反射、海洋水体向大气的光辐射和海面热辐射,是海洋光学的重要研究内容。海面光辐射和海洋环境特性之间的关系是光学遥感技术探测海洋的主要依据。
光在海面的反射和折射光在海面的反射和折散服从反射定律和折射定律。垂直偏振光的反射系数ρ寏和平行偏振光的反射系数ρ‖随入射角的变化不同(图1),它们遵从A.J.菲涅耳公式:
式中θa为水面上的入射角;θw为相应的折射角。θa+θw=90°时,ρ‖=0;此时θa=θB=53.3°,称为布儒斯特角。当漫射光投射于海面时,海面总反射系数为对各个方向反射系数的积分,约为5.2~6.6%。入射角和反射角之间的关系决定于斯涅尔公式
nasinθa=nwsinθ
式中na、nw分别为空气和海水的折射率。因此,天空光通过平静的海面进入水体后,被压缩成48.2°的锥形光束。当入射光束的立体角较小时,水面上入射立体角Ωa和水面下折散光束立体角Ωw之比为
由于光束立体角的压缩,使光从空气进入水体后的辐射度增强到n2倍。
海面受风作用时产生随机起伏,这种风生的海面斜率的随机分布属于高斯分布,故海面的均方斜率和风速成正比。在太阳高度角较小或观察角较大的情况下,当风速增加时,海面均方斜率的增加,使海面平均入射角减小,导致海面平均反射系数减小。在太阳高度较大或观察角较小的情况下,当风速增加时,由于海面斜率遵从高斯分布,均方斜率虽然增加,但平均入射角变化不大,因此海面平均反射系数几乎不随风速而变(图2)。利用起伏海面的反射可探测海洋波浪的重要信息。用航空摄影获取的海浪对直射太阳光的反射图像(耀斑图像),其耀斑的空间坐标和海面的斜率相对应,由此得到海浪斜率的分布。根据均方斜率数据,可估计海面的风场。用航空摄影获取的海浪对漫射光的反射图象,其灰度和海面的斜率有关,经过信息处理,可获得海浪的功率谱和方向谱(见海浪谱)。
海面向上光谱辐射
太阳光通过海面进入水体后,在传输过程中受到水体的吸收和散射。经海面返回大气的回向散射光,即为海面向上的辐射。这种吸收和散射的光谱性质,使海面向上的辐射具有光谱特征而又称为海面向上光谱辐射(图3)。
太阳辐射在海面上的辐照度为Es,通过海面产生的向下辐照度为Ed(0),到达深度z处的向下辐照度
其中k为辐照度衰减系数。向上辐照度
Eu(z)=R(z)·Ed(z)
其中辐照度比R(z)决定于水体的体积散射函数β(θ)和吸收系数ɑ。深度为z的水平面的向上辐射,可看成漫射表面的辐射,故向上辐亮度
Lu(z)=Eu(z)/π
海表面之下的向上辐亮度 Lu(0)决定于水体向上辐亮度的积分
其中μ为水体的线性衰减系数。海面之上的向上辐亮度Lw即为Lu(0)透过海表面的辐亮度。辐照度衰减系数к、体积散射函数β(θ)、吸收系数a、线性衰减系数 μ等海洋光学参数,都和波长有关。在吸收愈弱、散射愈强的光谱波段,海面向上辐亮度也愈强。
海面向上的光谱辐射和海水的水质密切相关,它决定了海色:清洁的大洋水呈蓝色,含泥沙的沿岸水呈黄色,叶绿素含量较高的营养水呈绿色。叶绿素在450nm波长附近是强吸收带,在550nm附近为强透射带。因此,当海水中叶绿素浓度增加时,海面的向上光谱辐射在450nm处减小,在550nm米处增大(图4)。海面向上光谱辐射的相对变化,是探测海水中叶绿素含量的重要信息。用光学遥感探测海面向上光谱辐射,必须作大气辐射校正。通过海洋-大气系统的向上光谱辐亮度
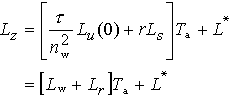
其中τ为表面海水的透射系数;Ls为天空入射光辐亮度;Ta为大气透射系数;L*为大气散射引入的大气路径辐亮度。必须消除大气的影响,才能提取反映海面和海水的光学性质的海面反射辐亮度Lr和海面向上辐亮度Lw的信息。
任何物体的热辐射决定于其湿度和比辐亮度。海面的温度在273开时,比辐亮度为0.98~0.99(黑体的比辐亮度为1)。因此,海面热辐射的光谱分布几乎和黑体相同,其峰值在8~14μm的中红外波段上,又称为海面红外辐射。根据斯蒂芬-波尔兹曼定律,黑体总辐亮度和温度的4次方成正比,故可以用红外遥感手段探测海面的温度(称为红外等效温度)。当海面受污染物(如油膜等)覆盖时,其比辐亮度小于0.98,导致测得的红外等效温度降低,故可依红外等效温度降低的大小,来判断海面污染的程度和污染物的性质,这已成为红外遥感探测海面污染的有效途径之一。