红外辐射

波长介于可见光与微波之间的电磁波(电磁辐射)。其短波方面的界限决定于人眼的视感,一般定为0.75微米;长波方面的界限,尚无定论。

简史

1666年,英国物理学家I.牛顿发现,太阳光经过三棱镜后分裂成彩色光带──红、橙、黄、绿、青、蓝、紫。1800年,英国天文学家F.W.赫歇耳在用水银温度计研究太阳光谱的热效应时,发现热效应最显著的部位不在彩色光带内,而在红光之外。因此,他认为在红光之外存在一种不可见光。后来的实验证明,这种不可见光与可见光具有相同的物理性质,遵守相同的规律,所不同的只是一个物理参数──波长。这种不可见光称为红外辐射,又称红外光、红外线

17~18世纪,许多物理学家认为,光(包括红外光和紫外光)具有波动的性质,有一定的传播速度,波长是它的特征参数并可以测量。可见光的彩色不同,反映了它们的波长不同。紫光的波长最短,红光的波长最长,红外辐射的波长则更长,紫外光的波长比紫光更短。1864年,英国物理学家J.C.麦克斯韦从理论上总结了当时已有的电磁学规律,提出了存在电磁波的可能性,它的传播速度可用纯电学量计算出来。后来的实际测量证明,其传播速度就是光速。因而猜想,光波就是电磁波。1887年,德国科学家H.R.赫兹用实验证实了这一猜想。

已知带电体受到扰动就发射出电磁波。扰动越强烈,发射出电磁波的能量就越大,波长就越短。由于受扰动的方式有多种,电磁波的波长范围很广。整个电磁波谱各波段的名称和波长范围(见彩图)。

电磁波频谱

红外辐射位于电磁波谱的中央,其波长覆盖四个数量级。在整个电磁波谱中,不管是哪一个波段,其传播速度都是光速c,波长为λ(厘米),每秒振动数称为频率ν(秒-1),则

λνc          (1)

红外波段的划分

电磁波谱划分为许多不同名称的波段。主要是根据它们的产生方法、传播方式、测量技术和应用范围的不同而自然划分的。红外波段又可划分为近红外、中红外、远红外三个波段。但划分的方法则因学科或技术领域不同而异。

由于大气对红外辐射的吸收,只留下三个“窗口”,即1~3微米、3~5微米、8~13微米,可让红外辐射通过。因而在军事应用上,分别称这三个波段为近红外、中红外、远红外波段。8~13微米,也称为热波段。

光谱学中,划分波段的方法尚不统一。一般分别以0.75~3微米、3~40微米和40~1000微米作为近红外、中红外和远红外波段。近红外是可以用玻璃作为透射材料和用硫化铅探测器进行检测的波段。中红外原来是以棱镜作为色散元件的波段,但后来都采用光栅作为色散元件,40微米这个界限不再有意义。但是,40微米又是石英能让红外辐射透过的起始波长,故仍可作为中红外波段与远红外波段的界限。在远红外波段的长波端,传统的几何光学和微波传输技术都不适用,需要发展新的技术。新技术适用的波段也可能是一个新名称的波段。此外,远红外波段内出现激光,以辐射源是否具有相干性作为远红外与微波划界的标准已不适用。因而暂以1000微米作为远红外波段的界限,把波长为1~3毫米的电磁波称为短毫米波。

辐射的产生

在物质内部,电子、原子、分子都在不断地运动,有很多可能的运动状态。这些状态都是稳定的,各具有一定的能量。通常用“能级”来表示这些状态。在正常情况下,物质总是处在能量最低的能级上(基态)。如果有外界的刺激或干扰,把适当的能量传递给电子、原子或分子,后者就可以改变运动状态,进入能量较高的能级(激发态)。但是,电子、原子或分子在激发态停留的时间很短,很快就回复到能量较低的能级中去,把多余的能量释放出来。释放能量的方式有多种,最常见的是发射电磁波。根据现代量子论的概念,从较高能级E1回复到较低能级E0时,发射出来的电磁波的频率为

ν=(E1-E0)/h  (2)

式中h为普朗克常数,h=6.626×10-34焦·秒,是发射出来的能量单元,称为光子。

因此,辐射是从物质中发射出来的。任何一块小的物体都包含着极大数目的原子或分子。每个原子或分子都有很多能级,从高能级跃迁到低能级都能发射光子。实际发射出来的电磁波就是这些大量光子的总和。各个原子或分子发射光子的过程基本上是互相独立的;光子发射的时间有先有后。光子发射时,原子或分子在空间的取向有各种可能,因而光子可向各个方向发射,其电磁场振动也可有各种方向;再加上物体内各能级之间的相互影响,两能级之间的能量差会有极小的变动。所有这些因素的联合作用,使所发射出来的辐射包含着各种频率,没有一定的相位,没有一定的偏振,这就是非相干辐射。

现代科学技术能采用适当办法,迫使某两个能级之间的光子发射过程都发生在同一时间向同一方向,这就能得到频带非常狭窄、方向性极好、强度很高,而且是偏振的相干辐射。这就是激光。在无线电波和微波范围内,电磁波的产生是利用电子在真空里的运动,迫使所有电子作相同的运动态的改变,这就发射出单一频率的、偏振的相干辐射。

辐射虽是从物体内部发射出来的,但必须首先从外界给以扰动,给以能量。这个过程称为激励。激励的方法有多种,其中与红外辐射关系最为密切的是加热。因加热而发射的辐射称为热辐射。

红外辐射度学

这方面的术语比较复杂,必须区别辐射的发出和接受两个方面,标明扩展源的方向性。扩展源就是尺寸与测量距离相比不可忽略的辐射源。反之,则可当作点源看待。

表内列出一些主要的辐射度学术语的名称、符号、单位名称和单位符号。

图

辐射度

描述辐射源的最基本的物理量。它的定义是:在与表面的法线成 θ角的方向(假定与方位角 φ无关)上,单位投影面积向单位立体角内发射的辐射功率(图1)。

图

公式 符号    (3)

式中ω 代表立体角。有一类被称为具有朗伯型表面的物体,从它的面元 dA出发射入θ方向的单位立体角内的辐射功率与cosθ成正比:

公式 符号    (4)

式中公式 符号为法线方向单位立体角内的辐射功率。(3)式的定义以单位投影面积dAcosθ计算,因而有

公式 符号

即朗伯型表面的辐射度在任何方向都一样,等于法向辐射度。考虑到辐射度定义中的这一因子,从面元dA出发射入整个上半球的全部辐射功率应为

公式 符号    (5)

式中2πsr代表积分范围为2π立体角。

辐射出射度

单位面积内向上半球发射的全部辐射功率。

M=dφ/dA  (W/m2)       (6)

dφ就是(5)式所求的辐射功率,因而

MπL           (7)

对于朗伯型表面,这个关系很重要。在实践中,只要测量法线方向的辐射度就可得到辐射出射度M。对非朗伯型表面,则必须测量射向各个方面的辐射功率,然后积分求M

辐射出射度是指从单位面积发出的辐射功率,可以是物体本身发射的辐射;也可以是被物体反射出来的辐射。此处强调“出”字。如果是指投射到物体表面的辐射,则必须用辐照度来表示。两者具有相同的量纲。

辐射强度

发射体的整个表面射入某一方向 θ的单位立体角内的辐射功率

I=dφ/dω (W/sr)       (8)

把(3)式对面积积分就得到I。在这种情况下,就是把扩展源看成点源。采用强度两字可与其他点源(电、磁、光)中的相应术语相一致。

辐射功率

与辐射能通量的含义相同,但用法略有区别。在讨论表面发射的或接受的辐射时宜用辐射功率。在描述空间某一假想平面内的辐射时则宜用辐射能通量。

表中所列各量都是指辐射源发射一定光谱而言的,如果要描述在波长λ 处墹λ间隔内的量,或在频率ν 处墹ν间隔内的量,则在表中各量的名称之前加“单色”、“光谱”或“分谱”,符号的右下脚加λν,如θλωλφλIλMλLλEλθνφνIνMνLνEν等。在仅讨论某一单色辐射的情况时,宜用“单色”。在讨论整个光谱内的各单色辐射的量时,则宜前面用“分谱”或“光谱”。

由于辐射的各成分是线性叠加的,MπL关系对单色辐射同样适用

MλπLλ  (9)

热辐射及其规律

加热物体物质内部的某些运动状态升高到激发态,当从激发态回复到较低能量的状态时,将产生辐射,称为热辐射。这种辐射又可能再被物体吸收,激励某些运动而再引起热辐射。因而热辐射过程有可能达到稳定的平衡状态。例如,考虑有一个密闭的空腔,腔壁用某种材料制成。加热使它保持在恒定温度T0。在腔内,腔壁上任一面元dA所发射的辐射总是落在腔壁的另一部分。落在腔壁某部分的辐射,部分被吸收,其余部分被反射出来又落到腔壁的另一部分。因此,不管从腔壁哪一部分发射出来的辐射,最后总是进入腔壁。在达到热平衡的条件下,任何面元所产生的辐射,在频率和强度等方面,总是等于它所吸收的辐射。否则就不是热平衡。因此,在热平衡条件下的空腔内部,所有的辐射必定具有稳定不变的性质,仅依赖于腔壁温度,与腔壁材料的性质无关。

黑体辐射

拿一块任何材料的小物体,放入腔内,不与腔壁接触。不久,这块物体就被加热到与腔壁相同的温度,即与腔壁达到热平衡。这时,小物体表面所发出的辐射,在频率和强度等方面,都必定与它所吸收的辐射相等。设物体表面所接受的辐照度为E(瓦/米2),物体对辐射的吸收比(吸收功率与入射功率之比)为α,它的辐射出射度为M(瓦/米2),则对任一部分表面,热平衡条件为

MαE         (10)

上式表明,一个物体对辐射的吸收比越大,它的辐射出射度也就越大,即吸收越强的物体发射辐射也越强。这就是基尔霍夫定律

α=1时,辐射出射度就达到最大。具有这种特性的物体称为黑体。它所发射的辐射称为黑体辐射。右上角加肩标“bb”表示黑体辐射的量。

α=1时,腔内物体所受到的辐照度就是

EMbb         (11)

换句话说,热平衡空腔内的辐射就是黑体辐射。因而任意物体的辐射出射度就是

MαMbb         (12)

它总是小于黑体的辐射出射度。

黑体并不难得,如在上述空腔壁上开一个很小的孔,孔的面积远远小于腔壁的面积,则从小孔发射出来的辐射能很小,不足以影响腔内的热平衡。从外面射入小孔的辐射,经腔壁多次反射,总是全部被吸收掉,不再从小孔反射出来,因而吸收比等于1。带有小孔的空腔就是黑体,从小孔发射出来的辐射就是黑体辐射。

黑体辐射是19世纪末叶研究得最多的物理学问题之一。对空腔发射出来的辐射进行了很多测量,证明黑体辐射属于朗伯型,它的辐射功率按波长或频率的分布是稳定的,仅与腔壁温度有关,与制造腔体的材料无关。图2为黑体在几个温度下,辐射出射度按波长的分布曲线。每个温度的分布曲线上都出现一个峰值,峰值所在的波长λm 随温度升高而向短波移动。

图

从测量数据可得到两条很有用的经验定律,即斯忒藩定律和维恩位移定律

斯忒藩定律

黑体的辐射出射度,包括各种波长在内的总辐射功率与黑体温度(绝对温标)T 的 4次方成正比

MbbσT4  (公式 符号/m2)     (13)

σ 是比例常数。T4的关系是玻耳兹曼用热力学方法推导出来的,因此,这一定律常称为斯忒藩-玻耳兹曼定律。

维恩位移定律

峰值波长λm与黑体温度T 的乘积为常数

λmT ≈3000

从理论上推导出黑体的辐射出射度对波长(频率)的分布曲线(图2),是19世纪末叶极为重要的物理学课题。1900年,M.普朗克提出了一个新的概念,即辐射能并不是连续的,只能以一定的份量被吸收或被发射。这个份量叫做量子(此处也称光子),它与辐射的频率成正比。即光子的能量为,比例常数h称为普朗克常数。后来,精确测定证明,h=6.626×10-34焦·秒。

图

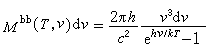
普朗克用量子概念进行推导,得到黑体的辐射出射度的公式为

公式 符号   (14)

或 公式 符号   (15)式中c为光速;κ为玻耳兹曼常数。这个公式称为普朗克辐射定律。

这个公式能精确地解释已有的一切实验数据,而且还把上述两经验公式中的常数用更基本的物理常数表达出来。

普朗克公式不仅可以解释当时已有的全部实验事实,而且在60年代以后,天文学家发现宇宙间充满着一类长波红外辐射,其波长分布完全与普朗克公式相符,证明宇宙间存在着2.7K背景温度。

用普朗克公式能精确地计算出黑体辐射,因而黑体已成为辐射测量的标准。已制造出各种形式的黑体,其中有些黑体非常接近理想黑体。按普朗克公式计算出来的黑体辐射数据表已成为红外工程设计人员的手册。

更重要的是,普朗克的量子假设开创了20世纪的量子物理学。

一般物体的热辐射

一般物体对辐射的吸收比总是小于1,因而发射热辐射的能力也小于黑体。对于它的辐射度,一般不直接测量,而是与同温度的黑体辐射进行比较,用一个比值表示其辐射特性。

首先,比较热辐射物体与同温度黑体在各个方向上的辐射度。前者的辐射度L可写成

Lε(ψ)Lbb   (16)

式中ε称为发射率,ε<1。对于大部分具有实用价值的热辐射物体,ε与方向(ψ)无关。因而达类物体也具有朗伯型表面,MπL关系同样适用。

其次,比较热辐射物体与黑体在各个温度及各波长的法向辐射度。利用上述关系就可得到物体的辐射出射度M

Mε(Tλ)Mbb(Tλ)      (17)

式中ε与波长和热辐射体的温度有关。但是,对于一些具有实用价值的热辐射物体,ελ的变化比较缓慢。在所需要的光谱范围内,可以把ε看作常数,或者取适当的平均值。这样,按普朗克公式对波长积分所得的斯忒藩定律可写成

Mε(T)σT4    (18)

因而,对任一热辐射物体,都可以用一个比数公式 符号来描述它的热辐射性能。一般说来,ε是方向、温度和波长的复杂函数。但是,一些常用的热辐射体,大都具有朗伯型表面,ελ的变化缓慢,用一个对波长作适当平均的ε(T)就足以描述它的全部热辐射特性。

在前面讨论空腔热平衡时,曾得到式(12),将其与式(18)相比,即得

εα           (19)

即任何物体的吸收比与发射率在任何温度和任何波长时都相等。黑体是其中的一个特例,εα=1。

α<1时,投射到物体表面的辐射,一部分被反射,其余部分进入体内被吸收。但是,也有可能仅有一部分被吸收,而其余部分透过物体辐射出去。如果反射比(反射出去的辐射功率与入射辐射功率之比)为 ρ,透射比(透过物体的辐射功率与入射辐射功率之比)为 τ,则按能量守恒定律,应有

αρτ=1        (20)

对于不透明物体τ=0,则得

αρ=1

因而有ε=1-ρ          (21)在实践中,常用测量ρ的办法来求ε

几种常见物体的发射率见表。

图