¹ÌÌå״̬·½³Ì

ÃèÊö¹ÌÌåѹÁ¦p¡¢Ìå»ýV¡¢Î¶ÈTÖ®¼ä¹ØÏµµÄº¯Êý¡£×´Ì¬·½³ÌµÄÎïÀí»ù´¡ÊÇÈÈÁ¦Ñ§µÚÒ»¶¨Âɺ͵ڶþ¶¨ÂÉ¡£

µ±Íâ½ç¶Ô¹ÌÌå×÷¹¦dW£¬ÒÔ¼°¹ÌÌå´ÓÍâ½çÎüÊÕÈÈÁ¿TdSºó£¬ÆäÄÚÄÜU·¢ÉúdUµÄ±ä»¯£¬×ÔÓÉÄÜF=U+TS£¬ÔòÓÐdFµÄ±ä»¯£º

¡£

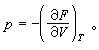
Ò»µ©ÖªµÀÁ˹ÌÌå×ÔÓÉÄÜF ËæÎ¶ȺÍÍâÁ¦±ä»¯µÄº¯Êý¹ØÏµºó£¬¼´¿Éµ¼³öϵͳÈÈÁ¦Ñ§ÐÔÖÊ¡£Ñ¹Á¦p µÄÈÈÁ¦Ñ§¶¨ÒåΪ£º

״̬·½³Ì´óÖ¿ɷÖΪÏÂÁÐÈýÖÖÀàÐÍ¡£

µÈÎÂ״̬·½³Ì

¸ù¾ÝÁ½ÖÖÇé¿ö£¬·Ö±ð¿¼ÂÇ¡£

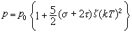
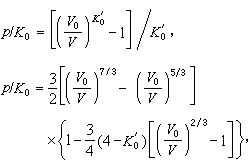
£¨1£©ÓÐÏÞÓ¦±äÀíÂÛ¡£ÕâÊÇÒ»ÖÖ²»¿¼ÂǹÌÌå½á¹¹Ìص㡢°Ñ¹ÌÌåµ±³ÉÁ¬Ðøµ¯ÐÔÌ壬²¢´ÓĬÄɺºÓÐÏÞÓ¦±äÀíÂÛ³ö·¢£¬µ¼³ö״̬·½³ÌµÄ·½·¨¡£³£¼ûµÄÕâÀà·½³ÌÓУº

·Ö±ð³ÆÎªÄ¬Äɺº·½³ÌºÍ²®Ææ(Birch)·½³Ì¡£ÆäÖÐKo¡¢¸÷ΪѹÁ¦ÎªÁãʱµÄÌ嵯ÐÔÄ£Á¿ºÍ¸ÃÄ£Á¿¶ÔѹÁ¦µÄµ¼Êý¡£

»¹Óв¼ÀïÆæÂü״̬·½³ÌÆäÐÎʽΪ£º

ʽÖÐa¡¢bÊÇÓÉʵÑéÈ·¶¨µÄϵÊý¡£

£¨2£©´Ó¹ÌÌå½á¹¹Ìص㵼³öµÄµÈÎÂ״̬·½³Ì¡£ÕâÖÖ·½·¨ÊÇ»ù´¡ÊÇ´ÓÏêϸµÄ¹ÌÌåÔ­×Ӻ͵ç×ӽṹ֪ʶ³ö·¢£¬¼ÆËã×ÔÓÉÄÜ£¬È»ºóÀûÓøÃ×ÔÓÉÄܼÆËã״̬·½³Ì¡£ÔÚ²»¿¼ÂÇζÈЧӦʱ£¬¸ÃÄÜÁ¿Ö÷Òª³É·ÖÊǵãÕóÄܺÍÁãµãÄÜ¡£Ò»°ã¹ÌÌåµÄÁãµãÄܱȵãÕóÄÜСºÜ¶à£¬Ö»ÔÚ¼ü±È½ÏÈõµÄÏ¡ÓÐÆøÌåµÄÄý¾Û̬ÖвÅÀýÍâ¡£Àë×Ó¾§ÌåµÄµãÕóÄÜÖ÷ÒªÓÉÀë×Ó¼äµÄ¿âÂØ×÷Óþö¶¨¡£·Ö×Ó¾§ÌåÔòÖ÷ÒªÓÉÔ­×Ó»ò·Ö×ӵķ¶µÂÍß¶ú˹Á¦¾ö¶¨¡£Æ½ºâÕâЩÏ໥×÷ÓõÄÅųâÊÆÓÉʵÑéÈ·¶¨¡£½ðÊôµÄµãÕóÄÜÓÉ×ÔÓɵç×ӵ͝Äܺͽ»»»ÄÜ¡¢µç×ÓºÍÀë×ÓÖ®¼äµÄ¿âÂØÄÜ£¬ÒÔ¼°Àë×Ó¼äµÄÅųâÄÜÖ®ºÍ¹¹³É¡£

¸ßÎÂ״̬·½³Ì

ÒÔÉϵĴ¦Àí¶¼Ã»Óп¼ÂÇζÈÕâÒ»ÒòËØ£¬µ±¿¼ÂÇζÈЧӦʱ£¬Ôò±ØÐë¼ÆÈ뼤·¢Ì¬¶Ô×ÔÓÉÄܵűÏס£ÕâЩ¼¤·¢°üÀ¨Ô­×ÓÈÈÕñ¶¯¡¢µç×ÓºÍ×ÔÐýµÄÈȼ¤·¢£¬ÒÔ¼°·Ö×Óת¶¯µÈµÈ¡£ÓÉÓÚËüÃDzúÉúÁËÈÈѹÁ¦£¬Òý³öÁËÈÈ״̬·½³Ì¡£

£¨1£©Ô­×ÓÈÈÕñ¶¯¡£E.¸ñÁÙ°®É­ÔÚ´¦ÀíÔ­×ÓÈÈÕñ¶¯¶Ô×ÔÓÉÄܹ±Ï×ʱ£¬°ÑÕû¸ö¹ÌÌåÔ­×ÓµÄÈÈÕñ¶¯´¦Àí³É¼òгÕñ¶¯µÄµþ¼Ó£¬Õâʱ¹ÌÌåµÄ×ÔÓÉÄÜΪ£º

ʽÖЦÈΪӦ±ä£¬viΪµÚi¸öгÕñ×ÓµÄÕñ¶¯ÆµÂÊ¡£ULΪ¾²Ì¬µãÕóÄÜ£¬µÚ¶þÏîΪÁãµãÄÜ£¬µÚÈýÏîΪгÕñ×ÓϵͳÄÜÁ¿Ö®ºÍ£¬´Ë´¦ÒѼٶ¨ÔÚÏßÐÔ¼¤·¢ÇøviÓëζÈÎ޹ء£Èô½øÒ»²½ÈÏΪËùÓеÄÏàµÈ¶¼ÊǦã¬ÓÚÊÇ¿ÉÒԵõ½Ã×£­¸ñÁÙ°®É­ÈÈ״̬·½³Ì£º

ÓÒʽǰһÏîÊǾ²Ì¬µãÕó½üËÆÏµõ½µÄÀäѹÁ¦£¬ºóÒ»ÏîÊÇÓÉÔ­×ÓÈÈÕñ¶¯²úÉúµÄÈÈѹÁ¦¡£¦Ã ³ÆÎª¸ñÁÙ°®É­³£Êý¡£

´ÓµÂ°ÝÀíÂÛ³ö·¢£¬Ò²Äܵ¼³öÀàËÆµÄÈÈ״̬·½³Ì¡£µ«ÕâʱÆäÖЇ_ΪµÂ°Ýζȣ¬vmΪµÂ°Ý¼«ÏÞÆµÂÊ¡£

£¨2£©µç×ÓÈȼ¤·¢¡£½ðÊô×ÔÓɵç×ÓµÄÈȼ¤·¢Ò²»á¶Ô×ÔÓÉÄÜÓй±Ïס£°´½ðÊô×ÔÓɵç×ÓÄ£ÐͰѴ«µ¼µç×Ó¿´×÷ÀíÏëÆøÌåÁ£×Ó£¬²¢×ñ´Ó·ÑÃÜ-µÒÀ®¿Ëͳ¼Æ£¬×îºó¿ÉÒԵõ½½ðÊôÖÐÈȼ¤·¢´«µ¼µç×Ó²úÉúµÄÈÈѹÁ¦Îª£º

ÓÉÓÚ·ÑÃÜÄÜUFÕý±ÈÓÚ£¬ËùÒÔËæÃܶȵÄÈý·ÖÖ®Ò»´Î·½¸Ä±ä¡£

³¬¸ßѹ״̬·½³Ì©¤©¤Í³¼Æ·½·¨

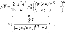
ÒÔÉϵĹÌÌå״̬·½³Ì¶¼ÊÇÒÔ¿ÉÒÔÕÒµ½ÃèÊöµãÕóÄÜÄ£ÐÍΪǰÌáµÄ¡£ÕâÖÖÄ£ÐͶÔÓÚ²»Í¬¹ÌÌåÊDz»Í¬µÄ¡£µ«Êǵ±Ñ¹Á¦²»¶ÏÔö¼Ó£¬Ô­×Ó¼äÏ໥×÷ÓÃÁ¦µÄϸ½Ú±äµÃ²»ÄÇÃ´ÖØÒªÊ±£¬¿ÉÒÔ²ÉÓÃÍÐÂí˹-·ÑÃÜ£­µÒÀ®¿Ë(TFD)ͳ¼ÆÄ£ÐÍÃèÊö״̬·½³Ì¡£ÕâÖÖ·½·¨ÊÊÓÃÓÚÔ­×ÓÐòÊý´ó£¬Ñ¹Á¦·Ç³£¸ßµÄÇé¿ö¡£

£¨1£©¾ø¶ÔÁã¶ÈʱµÄTFÄ£ÐÍ¡£ÕâÊÇÒÔ¼ò²¢µç×ÓÆø·½Ê½ÃèÊöÔ­×ÓÖеĵç×ÓµÄͳ¼Æ·½·¨¡£Ëü¼ÙÉè:(1)µç×ÓÊ×ÏÈÊÇÊÜÔ­×ÓºËÖÐÐÄÊÆ³¡V(r)µÄ×÷Óᣵ±Ô­×ÓÖÐÓжà¸öµç×Ó¹²´æÊ±£¬V(r)ÂÔ×÷¸Ä±ä£»£¨2£©µç×Ó·þ´Ó·ÑÃÜ-µÒÀ®¿Ëͳ¼Æ£»(3)µç×ÓµçºÉÃܶÈÁ¬Ðø·Ö²¼£¬ºËÖÜΧÁ¬Ðø·Ö²¼µÄµç×ÓÔÆÊÆº¯ÊýÂú×ã²´ËÉ·½³Ì¡£¸ù¾Ý×ÔÓɵç×ÓÆø¶¯Á¦Ñ§ÀíÂÛ£¬Ñ¹Á¦£¬ÎªÔ­×Ó°ë¾¶ro ´¦µÄ¶¯ÄÜÃܶȡ£×îºóµÃµ½TF״̬·½³ÌΪ£º

¡£

£¬

£¬

ZΪԭ×ÓÐòÊý£¬hΪÆÕÀʿ˳£Êý£¬mΪµç×ÓÖÊÁ¿£¬eΪµç×ÓµçºÉ¡£

£¨2£©TFÄ£Ð͵ÄζÈ΢ÈÅ¡£Î¶ȵÄЧӦÊǸıäÔ­×ÓÄÚ²¿µÄµç×Ó·Ö²¼¡£Í¨¹ý·ÑÃÜ-µÒÀ®¿Ëͳ¼Æ¼ÆË㣬×îºóµÃµ½Ò»¼¶Î¶È΢ÈÅϵÄTF״̬·½³ÌΪ£º

£¬

ʽÖІêoΪζÈΪÁãʱTFº¯ÊýÔڱ߽çÉϵÄÖµ¡£

£¨3£©TFDÄ£ÐÍ¡£ÉÏÊöTFÄ£Ðͼٶ¨ºËÖÜΧÊǼò²¢µç×ÓÆø£¬³ý¾²µçÆÁ±Î×÷ÓÃÍ⣬ûÓп¼Âǵç×Ó¼äµÄÆäËûÏ໥×÷Óᣵ±¼ÆÈëµç×Ó×ÔÐýÖ®¼äµÄ½»»»×÷Óõõ½ÍÐÂí˹-·ÑÃÜ-µÒÀ®¿Ë(TFD)״̬·½³ÌΪ

ʽÖУ¬¦×(xo)ÊǦ×ÔÚÔ­×Ó±íÃæ´¦µÄ±ß½çÖµ¡£

Ôڷdz£¸ßÃܶÈÇé¿öÏ£¬µç×Ó¶¯Äܳ¬¹ýÊÆÄÜ£¬±äΪÖ÷Òª¹±Ïס£ÔÚζȲ»Ì«¸ßʱ£¬ÔòѹÁ¦NÊÇÎïÌåÖÐ×ܵç×ÓÊý£¬UFΪ·ÑÃÜÄÜÁ¿£¨¼û·ÑÃÜÃæ£©¡£ÔÚ¸ü¸ßѹÁ¦Ï£¬Ôò±ØÐ뿼ÂÇÔ­×Ӻ˲¶»ñµç×Ó¶øÒýÆðÏà¶ÔÂÛÐÔЧӦºÍºË·´Ó¦¡£

²Î¿¼ÊéÄ¿
  1. L. Knopoff£¬ Equation of State of Solids at Moderately High Pressure£¬ R.S. Bradley£¬ ed.£¬ High Pressure Physics and Chemistry£¬ Vol.1£¬ pp.227¡«244£¬ Academic Press£¬ London and New York£¬ 1963.
  2. L. Knopoff£¬ Equation of State of Solids at Ultra-High pressures. R. S. Bradley£¬ ed.£¬ High Pressure and Chemistry£¬ Vol. 1£¬ pp. 247¡«262. Academic Press£¬ London and New York£¬ 1963.
  3. L. D. Landau and E. M. Lifshitz£¬ Statistical Physics£¬ Pergamon Press£¬ Oxford£¬ 1958.