声表面波

沿均匀各向同性弹性固体半空间与空气或真空接触的表面传播,能量集中在表面附近的弹性波。它是英国物理学瑞利在1885年首先从理论上给出的,又称为瑞利波。

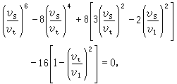
声表面波传播速度υS满足瑞利方程:

其中vt为固体中横波的传播速度,v1为纵波的传播速度(见固体中的弹性波)。

对于实际的固体,vs的范围为

因此,它比横波的传播速度大约慢10%。

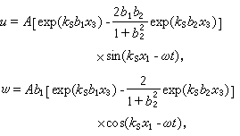
声表面波的质点振动方向是在波传播的矢簇平面内,如果取波传播方向x1(的质点位移为μ,界面法线方向x3的位移为,则它们分别为

其中ks为表面波的波数,ksw/vsw为圆频率,A为依赖于激发的待定常数,

由此可见,两个位移分量μ的相位相差90°,因此质点位移的轨迹为椭圆。图1是声表面波传播的示意图。这两个位移分量幅度随深度的变化,其典型情况见图2。随着深度的加深,其幅度最终(不一定是单调的)将趋向于零;而且当深度大于几个波长以后,波的幅度就很小了。所以能量集中于表面附近几个波长范围内。

图1 图2

上面所述是界面为平面的情况,当界面为弯曲的,如柱面或球面时,也存在表面波;对于层态的半空间,也存在表面波。不过,与平界面的均匀半空间不同,它们都是频散的,而且是多模的。特别是在一高声速的半无限介质基底上附加一层低声速介质时,会存在一种特殊表面波,以它的提出者命名为乐甫(Love)波。其质点振动方向与水平极化横波一样,是平行于表面的。这时不同的模式对应于在层内不同的节点数。当然,随着深度增加到无穷时,质点振幅也逐渐趋向于零。

在两个半无限的固体界面上,如果两个固体介质的参数满足某些条件时,将存在界面波,这种波称为斯顿莱(Stoneley)波。这种波的能量集中在界面附近,当远离界面时,质点振幅也将趋于零。

对于各向异性介质如晶体的半空间,表面波也可以传播。但由于各向异性,表面波的传播速度因表面切向和传播方向而异,一般来说不能用一个简明的表达式给出,须用数值迭代法求得。其质点振动位移在通常情况下有三个方向分量,其相位之间的关系也较复杂。

特别值得提出的是,在各向异性并存在有压电性的压电介质中,也可以存在表面波,与非压电体不同,随着这种表面波的传播,将伴有电场分布的传播,利用这个特性,在电子学领域内,作成多种的很有特色的声表面波器件。对于磁弹介质中,也存在磁弹耦合的表面波。

参考书目
  1. W.伊文等著,刘光鼎译:《层状介质中的弹性波》,科学出版社,北京,1966。(W.M.Ewing, et al.,Elastic Waves in Layered Media, McGraw-Hill, New York,1957.)
  2. B.A.Auld,Acoustic Fields and Waves in Solids, Vol.2, Interscience, New York,1973.