½ºÌåÕ³¶È

¸ù¾Ý²»Í¬µÄÁ÷¶¯-ÐαäÐÔÄÜ£¬Á÷ÌåµÄÁ÷ÐͿɷÖΪţ¶ÙÐͺͷÇÅ£¶ÙÐÍ£¨ËÜÐÔ¡¢¼ÙËÜÐÔ¡¢ÕÍÁ÷ÐÍ£©¡£ÆäÖУ¬Å£¶ÙÐÍÊÇÌÖÂÛÎÊÌâµÄ»ù´¡£¬Ò»Ð©Ö»ÓзÖ×ÓÄÚĦ²Á¶øÎÞÄÚ²¿½á¹¹µÄÁ÷ÌåÊô´ËÀ࣬ÈçË®¡¢¸ÊÓ͵ȡ£µÍŨ¶ÈµÄ½ºÌå¶à°ëΪţ¶ÙÐÍ£»Ëæ×ÅŨ¶ÈµÄÔö¼Ó£¬Á÷ÐÍÆ«ÀëÅ£¶ÙÐÍ£¬µ«ÊôËÜÐÔ¡¢¼ÙËÜÐÔºÍÕÍÁ÷ÐÍÖеÄÄÄÒ»ÖÖ£¬½«ÒòÎïÖʶøÒì¡£

×îÔçÑо¿Ï¡Å¨¶È½ºÌåµÄÊÇA.°®Òò˹̹£¬ËûÔÚ1911ÄêµÃ³öÏÂÁй«Ê½£º

η£½η0(1+2.5φ)¡¡¡¡(φ£¼0.1)

ʽÖÐη0ºÍη·Ö±ðΪÈܼÁºÍϡŨ¶È½ºÌåµÄÕ³¶È£»φΪ½ºÌåÖʵãµÄÌå»ý·ÖÊý¡£µÃ³öÉÏʽʱ£¬Ëû³ýÁËÔËÓÃÁ÷ÌåÁ¦Ñ§ÖªÊ¶Í⣬»¹½èÖúÏÂÁмÙÉ裺

£¨1£©½ºÌåÖʵãÊDZÈÈܼÁ·Ö×Ó´óµÃ¶àµÄÇò£»

£¨2£©ÇòÊǸÕÌ壬ÇÒÄܱ»²»¿ÉѹËõµÄÈܼÁÍêÈ«Èóʪ£»

£¨3£©Å¨¶È¼«Ï¡£¬Á÷Ìå¾­¹ýÖʵãʱ£¬¸÷Á÷²ãËùÔâÊܵÄÈÅÂÒ²»ÖÁÓÚÏ໥¸ÉÈÅ£»

£¨4£©ÌåϵÖÐÎÞÎÉÁ÷¡£¸ÃÊ½ÔøÓÃÒÑÖª³ß´çµÄϸ²£Á§ÇòºÍijÖÖ½ÍĸÑéÖ¤£¬ÔÚŨ¶ÈºÜϡʱ£¬ÀíÂÛÓëʵÑéÊý¾ÝÏà·û¡£¸Ãʽ˵Ã÷Ïà¶ÔÕ³¶È¹«Ê½ ·ûºÅÓëÖʵãÐÔÖʺʹóСÎ޹أ¬Õ³¶ÈµÄÔö¼ÓÖ»ÊÇÒòΪÁ÷ÌåÊܵ½¸ü´óµÄÇÐÓ¦Á¦¡£Êµ¼ÊÉÏ£¬ÖʵãµÄ´óС¡¢¶à·ÖÉ¢ÐÔºÍÈܼÁ»¯×÷Óõȶ¼Ó°ÏìÕ³¶È¡£

¶ÔÓÚÉÔŨһµãµÄ½ºÌ壬ÓÃÏÂÁй«Ê½±íʾ£º

η£½η0(1+2.5φ+K1φ2+¡­)

ʽÖÐK1ÊDzÎÊý£¬¸ù¾Ý²»Í¬µÄÄ£ÐÍ£¬¿ÉËãµÃ²»Í¬µÄÊýÖµ¡£

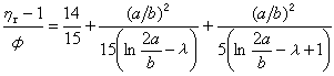
Èô½ºÌåÊÇ·ÇÇòÐεIJ»¹æÔòÖʵ㣬Á÷ÌåÁ÷¾­ÆäÖʵã±ßԵʱ£¬Öʵã¿ÉÒÔת¶¯£¬´Ó¶øÏûºÄÁ˶îÍâµÄÄÜÁ¿¡£´ËÍ⣬ÖʵãÖ®¼äµÄÏ໥¸ÉÈÅÒ²ÊDZØÐ뿼ÂǵÄÖØÒªÒòËØ¡£Å¨¶Èϡʱ£¬R.Î÷Âí¾ÍÐýתµÄÍÖÔ²ÌåÍÆµ¼³öÏÂʽ£º

¹«Ê½ ·ûºÅ

ʽÖÐa¡¢b ·Ö±ðÊÇÍÖÔ²ÌåµÄ³¤ÖáºÍ¶ÌÖ᣻λΪ³£Êý£¬±â³¤ÐýתÍÖÔ²ÌåµÄλÊÇ1.5£¬Ô²ÌåÐΰôµÄλÊÇ1.8¡£¸ÃÊ½ÔøÓò»Í¬Á£¾¶µÄÑ̲ݰßÎÆ²¡¶¾ÑéÖ¤£¬ÔÚa/b£½20.3¡«64.3£¬φ£¼0.003·¶Î§ÄÚ£¬ÀíÂÛÓëʵÑé½á¹û·ûºÏµÃºÜºÃ¡£

µ±ÖʵãÏ໥¼äÓÐ×÷Ó㬲¢ÄÜÐγÉÍø×´½á¹¹Ê±£¬»¹»áÓÐÒ»²¿·ÖÈܼÁ°üº¬ÔÚÆäÖУ¬´Ó¶øÊ¹½ºÌåÕ³¶È´ó´óÔö¼Ó£¬ÒòΪ²»µ«ÄÜÁ÷¶¯µÄÈܼÁ¼õÉÙ£¬¶øÇÒ²ðÉ¢Íø×´½á¹¹»òʹÆä±äÐΣ¬¶¼ÐèÒªÄÜÁ¿¡£´ËÖÖÒò½á¹¹¶øÉú³öµÄÕ³¶È½Ð½á¹¹Õ³¶È¡£ËüÓëËùÊ©µÄ¼ôÇÐÁ¦Óкܴó¹ØÏµ¡£¼ôÇÐÁ¦Ð¡Ê±£¬½á¹¹Õ³¶È´ó£»¼ôÇÐÁ¦Ôö¼Óºó£¬Íø×´½á¹¹±»²ðÉ¢£¬Öʵ㻹»áËæÖ®¶¨Ïò£¬¹ÊÕ³¶ÈϽµ¡£Ò»°ãŨµÄ½ºÌåºÍ¸ß¾ÛÎïÈÜÒº£¬½ÔÓдËÏÖÏó¡£

¶ÔÇ×Òº½ºÌåµÄÕ³¶È£¬ÌرðÊÇÎÞ¹æÏßÍŸ߾ÛÎïÈÜÒºµÄÕ³¶È£¬H.F.Âí¿ËºÍR.ºÀοËÓÃÁ½²ÎÊýµÄ¾­Ñ鹫ʽ£¬½«ÆäÌØÐÔÕ³¶È£Ûη£Ýͬ·Ö×ÓÁ¿¦¬¹ØÁªÆðÀ´¡£

[η]£½KM α

ʽÖÐKºÍαΪ²ÎÊý¡£´óÁ¿ÊµÑéÊý¾Ý±íÃ÷£¬αÔÚ0.5¡«1.0Ö®¼ä±ä»¯¡£Ê¹ÓÃÁ¼ÈܼÁʱ£¬ÏßÐ͸߾ÛÎïµÄαΪ0.6¡«0.8¡£¼ÓÈë²»Á¼ÈܼÁºó£¬αÖµÖð½¥¼õС£»ÔÚ½Ó½ü³Áµíµãʱ£¬αÖµ½Ó½ü1/2¡£¶ÔÓÚÄÚÐýת×è°­½Ï´óµÄ¸ÕÐԸ߾ÛÎïÁ´£¬αÖµ½Ó½ü1.0¡£

ΪÁËÇóµÃ£Ûη£Ý£¬±ØÐë½øÐÐһϵÁÐÕ³¶È²â¶¨£¬ÆäÖÐÓÐÏà¶ÔÕ³¶È£¨ηr£©¡¢ Ôö±ÈÕ³¶È ¹«Ê½ ·ûºÅ¡¢±ÈŨճ¶È¹«Ê½ ·ûºÅºÍ±ÈŨ¶ÔÊýÕ³¶È ¹«Ê½ ·ûºÅ¡£cΪŨ¶È£¬ÇÒ£º

¹«Ê½ ·ûºÅ

ͨ³££¬È¡4¡«5¸ö²»Í¬Å¨¶ÈµÄÈÜÒº£¬²â¶¨ÆäηºÍη0£¬ÀûÓÃÏ¡ÊÍÍâÍÆ·½·¨£¬¼´¿ÉÇóµÃ[η]£¨¼ûͼ£©¡£

ͼ

¼´ÒÔηSP/c¶ÔcºÍÒÔln(ηr/c)¶Ôc×÷ͼ£¬·Ö±ðµÃµ½Á½ÌõÖ±Ïߣ¬ÍâÍÆºó£¬Óë×Ý×ø±ê½»ÓÚͬһµã£¬Æä½Ø¾àΪ[η]¡¤c£¬´Ó¶øµÃµ½[η]¡£

Ó°Ïì¸ß¾ÛÎïÕ³¶ÈµÄÒòËØÉõ¶à£¬ÈçÈÜҺŨ¶È¡¢ÈܼÁÖÖÀࡢζȡ¢¼ôÇÐËÙÂÊ¡¢¸ß¾ÛÎïÁ´µÄ¾Û¼¯×´Ì¬¼°ÆäÏ໥×÷Óõȡ£