一致分布

研究实数的分数部分在区间U1=[0,1)中的分布问题。一致分布理论的发展则开始于H.外尔1916年关于一致分布理论的著名研究。一致分布除自身的发展外,在解析数论、概率论和近似分析中都有重要的应用。例如,关于外尔和估计的研究是解析数论与堆垒数论中的核心。

xj(i=1,2,…)为U1中的一个点集。对于任意正整数n及任意实数rU1,命Nn(r)表示n个点xj(1≤in)落入区间[0, r)的点的个数。如果

则称点集xj(i=1,2,…)在U1中一致分布。

外尔给出了判断一致分布的重要法则,即所谓外尔判别法:点集xj(i=1,2,…)在U1中一致分布的充分必要条件为,对于任一U1中的黎曼可积函数ƒ(x),皆有

应用这一法则十分困难,因为需对所有黎曼可积函数进行研究才能证明点集的一致分布性,于是导致外尔在黎曼可积函数的集合中,选出一个特殊的序列

其线性包给出每一黎曼可积函数。从而他证明了下面更精密的判别法:数列xj(i=1,2,…)在U1中一致分布的充分必要条件为,对于任意整数h≠0,常有

例如,对于任何实无理数α,数列nα( n=1,2,…)对模1是一致分布,即它们的分数部分{nα}(n=1,2,…)在U1中一致分布。又如,若多项式ƒ(x)的次数大于或等于1,其系数为实数且至少有一个系数为无理数,则数列ƒ(x)(x=1,2,…)对模1是一致分布。

D(n)称为点列xj(1≤in)的偏差。因此,若点集xj(i=1,2,…)在U1中一致分布,则D(n)=O(1)。偏差是用来刻画一致分布点集的分布误差的。关于偏差的重要结果如下:

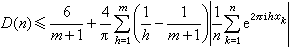
对于U1中任意n个数xj(1≤in)及任意正整数m皆有。这基本上是P.爱尔特希和P.图兰得到的。

对于U1中任意n个点皆有,此处с为一个正的绝对常数。这是K.F.罗特得到的。

一致分布的定义可以推广到s维欧几里得空间,此处s≥2。命Us表示s维单位立方体,即适合0≤xj≤1,1≤i≤s的全体点尣 =(x1x2,…,xs)。命p(h)=(x1(h),x2(h),…, xs(h))(h=1,2,…)为Us中的点集。对于任意r=(r1r2,…,rs)∈Us,命Nn(r)表示适合下面条件的p(h)(1≤hn)的个数0≤xj(h)< rj,1≤i≤s,则这n个点的偏差定义为

此处|r|=r1r2rs。若D(n)=O(1),则称点集p(h)(h=1,2,…)在Us中一致分布。

外尔判别法及关于偏差的结果,在s维空间都有相应的推广。

一致分布的定义及外尔判别法还可以推广到紧致空间与拓扑群。

一致分布理论中有不少待解决的问题。例如数列ex(x=1,2,…)是否对模1为一致分布,就是未解决的著名问题。

参考书目
  1. 华罗庚著:《指数和的估计及其在数论中的应用》,科学出版社,北京,1963。
  2. L.Kuipers and H.Niederreiter,Uniform Distribution of Sequences, John Wiley & Sons,NewYork, 1974.