氾胜之书

浏览

西汉晚期的一部重要农学著作。《汉书·艺文志》著录作“《氾胜之》十八篇”,《氾胜之书》是后世的通称。作者氾胜之,汉成帝时人,曾为议郎,在今陕西关中平原地区教民耕种,获得丰收。该书是他对西汉黄河流域的农业生产经验和操作技术的总结,主要内容包括耕作的基本原则、播种日期的选择、种子处理、个别作物的栽培、收获、留种和贮藏技术、区种法等。就现存文字来看,以对个别作物的栽培技术的记载较为详细。这些作物有禾、黍、麦、稻、稗、大豆、小豆、枲、麻、瓜、瓠、芋、桑等十三种。区种法(即区田法)在该书中占有重要地位。此外,书中提到的溲种法、耕田法、种麦法、种瓜法、种瓠法、穗选法、调节稻田水温法、桑苗截干法等,都不同程度地体现了科学的精神。

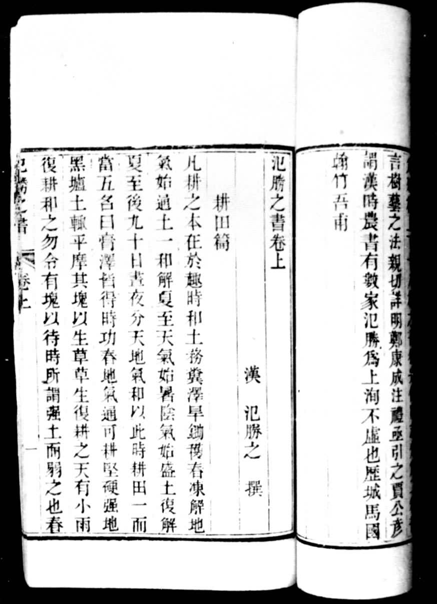
《氾胜之书》清洪颐煊辑本

氾书早佚,北魏贾思勰齐民要术》多所征引。清人辑佚本以洪颐煊所辑为优。今人石声汉撰有《氾胜之书今释》、万国鼎撰有《氾胜之书辑释》。