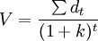
为简便起见,在不会影响到计算结果的理论含义的前提下,人们通常把上述各种收益简而归之为股利。下面就是股票内在价值的普通计算模型:
计算公式:

其中,
V……内在价值
dt……第t年现金流入
k……贴现率,则(1+k)t为第t年贴现率
“宁肯要模糊的正确,也不要精确的错误”,先引用一下巴菲特的名言,体现在公式里面就是两个因子的不确定性,对于dt和k的选取,如何做到模糊的正确,是问题的核心所在。
关于dt:
对于t<0的情况,反映的是历史的现金流入情况,如果财务没有作假的话,那么可以很容易从公司历年年报中获得
对于t=0的情况,有大量的行业分析报告和公司分析报告,d0相对来说可以比较准确
对于t>0的情况,t取值越大,意味着预测年度距离当前越远,而影响公司现金流入的因素颇为复杂,那么精确预测尤为困难。
关于贴现率k:
贴现率就是用于特定工程资本的机会成本,即具有相似风险的投资的预期回报率
按照贴现率的定义,选取社会平均资本回报率作为贴现率是恰当的
1992年~2003年的社会资本平均回报率在9~10%间波动(参考《中国统计年鉴》(1987-2003))
k值对内在价值的影响很大,个人认为采用10%作为k值引入计算是合理的
关于k的取值,有人采用的是5年期债券收益率加上一个安全率,个人认为不太妥当,首先,安全率是一个很模糊的取值,而没有参考依据,如果太高会导致与优秀的公司擦肩而过,如果太低,则很可能会对内在价值严重高估。那么据此投资的结果将是灾难性的。
这是计算股票内在价值的最基本公式,但要注意,这也是唯一的真实公式,在计算各种简化模型的时候都是建立在各种特定假设的基础之上。在现实分析中运用简化模型的时候,应该时刻不要忘记这个真实的公式。














