债券收益

浏览

债券投资每年所能产生的收益额与其本金的比率。又称债券收益率。

利率、期限和价格是决定债券收益的要素。它们的变动直接影响债券收益率的高低。一般来说,债券给投资者带来的收益有以下几种:

(1)按债券票面利率计算的利息收入;

(2)认购价格与偿还价格(票面价格)之间的差额;

(3)将所得利息和差额收入等再投资所获收益。按照这三种不同收入分别计算收益率,可分为名义收益率、即期收益率、持有期收益率和到期收益率等四种。

名义收益率

债券上规定的票面价值的年百分比,如12%、14%,又称票面利率。如果认购价格低于票面价值,则投资者的实际收益率将高于名义收益率;如果价格高于票面价值,则投资者的实际收益率将低于名义收益率。

即期收益率

按票面利率计算的年债息收入与认购价格的比率,又称直接收益率或净收益率,是债券价格、息票率和到期的年数或月数的函数。其计算公式为:

公式 符号

如买价106元,20年到期,利率12%的债券,其年净收益率为11.36%。

持有期收益率

债券投资者在投资期内所获收益与其投资成本的比率。这一比率最能体现投资于债券的收益水平,一般按下式计算:

公式 符号

如某人按80元的价格购买了一张面值100元的债券,在持有3个月后,其市场价格上扬至85元时将其卖出,其间获得债息5元,则其持有期收益率为12.5%。

到期收益率

从债券认购起至最终偿还日所得到的债息与资本利得(或损失)之和与投资本金的比率,用来计算投资者在债券到期时的本金和债息收益。其计算公式因债息的计算方式是单利还是复利而有所不同。按单利计算的到期收益率公式为:

公式 符号

其中,年均资本利得(损失)=(债券面值-购买价格)/偿还年数;年均投资额=(债券面值+债券终值)/2。按复利计算的到期收益率是在单利到期收益率的基础上得出的收益率。其计算公式为:

公式 符号

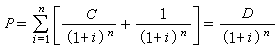
其中 n为偿还年限。复利到期收益率的计算涉及到现值和复利的使用。决定以复利投资的一笔资金的将来值的公式是:(1+i)n,式中i是年利率,n与上式含义相同。债券现值通常按复利计算,为本金和利息的现值之和,其公式是:

公式 符号

式中P代表现值,C代表息票利率,D代表到期应收本息之和(即债券终值)。

决定债券收益率的因素还有市场状况、债券的税收待遇以及市场的物价水平等。

参考书目
  1. 李扬、金培、王军:《证券市场与企业》,中国审计出版社,北京,1990。
  2. 蒋屏:《投资效益测算》,四川教育出版社,成都,1989。
  3. K.J.Sarkis,Investment Management, Theory and Application,Macmillian,New York,1983.