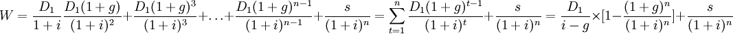
股息成长模型假设股票的投资价值是将今后能领取的全部股息加以资本还原的现值的总和,并且假定公司股息以g%的固定比率增长,公式为:

式中:W是股票投资价值,n是投资者持有股票的期限,购买后第n年卖出,未来各年的每股预期股息分别为

。S是第n年出售的价格,i是市场利率。
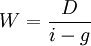
在i-g>0的情况下,令n→0,公式可以简化为:

浏览
股息成长模型假设股票的投资价值是将今后能领取的全部股息加以资本还原的现值的总和,并且假定公司股息以g%的固定比率增长,公式为:

式中:W是股票投资价值,n是投资者持有股票的期限,购买后第n年卖出,未来各年的每股预期股息分别为

。S是第n年出售的价格,i是市场利率。
在i-g>0的情况下,令n→0,公式可以简化为:
