1.实数的标准差:
假设有一组数值x1,...,xN(皆为实数),其平均值为:

此组数值的标准差为:

一个较快求解的方式为:

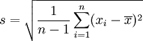
从这组数值当中取出一样本数值组合x1,...,xn,常定义其样本标准差:

注:在统计学中样本的均差多是除以自由度(n-1),它是意思是样本能自由选择的程度。当选到只剩一个时,它不可能再有自由了,所以自由度是n-1。
2.随机变量的标准差
一随机变量X的标准差定义为:

须注意并非所有随机变量都具有标准差,因为有些随机变量不存在期望值。














