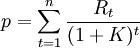
普通股的价值(内在价值)是由普通股产生的未来现金流量的现值决定的,股票给持有者带来的未来现金流入包括两部分:股利收入和股票出售时的资本利得。股票的价值由一系列的股利和将来出售股票时进、售价的差额所构成。其基本计算公式是:

式中,P是股票价值;Rt是股票第t年产生的现金流入量(包括股利收入、卖出股票的资本利得);K是折现率;n是持有年限。
浏览
普通股的价值(内在价值)是由普通股产生的未来现金流量的现值决定的,股票给持有者带来的未来现金流入包括两部分:股利收入和股票出售时的资本利得。股票的价值由一系列的股利和将来出售股票时进、售价的差额所构成。其基本计算公式是:

式中,P是股票价值;Rt是股票第t年产生的现金流入量(包括股利收入、卖出股票的资本利得);K是折现率;n是持有年限。