多元增长模型与不变增长模型的关系

浏览

多元增长模型与不变增长模型的关系

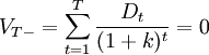
不变增长模型是多元增长模型的特例。如果假定开始时T=0,那么:

多元增长模型与不变增长模型的关系

多元增长模型与不变增长模型的关系

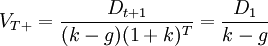
多元增长模型表述为V=VT +VT+,可知,当T=0时,

多元增长模型与不变增长模型的关系

,这个公式实际上就是不变增长模型。


相关文章