假设企业第n年现金流量增长率为g,n+1年以后增长率均为g,则对企业两个阶段时间间隔的划分成为计算其现金流量的关键点。2005年与2006年全国注册会计师《财务成本管理》辅导教材在实例分析中对两种情况下后续期的起点作出了不同的处理。2005年规定后续期起点为第n年,2006年无论课本或习题则统一更正为第n+1年,这不禁会使读者产生困惑。为了验证两种方法的正确性,拟对两种方法进行推导演算。
将永续期起点视为第n+1年,其现金流量图可以表示如下:

假设股权资本成本为Rs,永续增长率为g,第t年股利为D,
则企业的股权价值V为:

将永续期起点视为第n年,其现金流量图可以表示如下:

则企业股权价值V为:

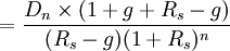
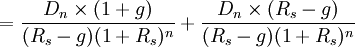
比较以上两种计算方法发现,n-1年以前的价值在两种方法下计算结果相同,其区别在于对第n年以后的现值的计算。对公式(2)中后半部分进行推导得出:





将式(3)带入公式(2),替换公式(2)的后半部分,则可以得出:公式(1)=公式(2)。
从以上计算结果可以看出,在企业第n年增长率与后续期增长率相同的情况下,无论将第n年还是第n+1年作为企业计算股权价值的后续期起点,其计算结果都完全一致。同样,这种结论也适合于企业实体现金流量的“两阶段增长”模型。














