趸缴纯保险费的计算主要包括:定期死亡保险趸缴纯保险费、定期生存保险的趸缴纯保险费、终身寿险的趸缴纯保险费、定期年金保险趸缴纯保险费的计算。
1.定期死亡保险趸缴
纯保险费的计算定期死亡保险是被保险人在保险期间内因保险事故而死亡,由保险人按保险合同的规定给付保险金的保险。如果被保险人在保险期满时仍生存,保险人不作任何给付。
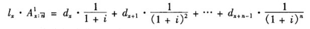
假定在x岁时,有lx人参加n年期死亡保险,年利率为i,第一年有dx人死亡,每人给付1元,共给付dx元,给付额的现值为

,其中

;第二年有dx+1人死亡,共给付以dx+1元,给付额的现值为以

;第n年有dx+n ?1人死亡,其给付金额的现值为

。
根据纯保费厘定的原则,lx人缴纳的纯保费之和等于各年给付的保险金现值的和,即

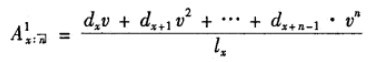
每个人应缴的纯保费为

2.定期生存保险的趸缴纯保费的计算
定期生存保险是指被保险人生存到保险期限届满时,保险人按保险合同的规定给付保险金的保险。如果被保险人在保险期内死亡,保险人不作任何给付。
假定在x岁有lx人投保n年期的生存保险,在n年保险期满时生存的lx+n人每人领取1元保险金,其现值为

,根据纯保险费厘定的原则,则有

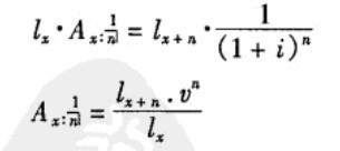
3.终身寿险的趸缴纯保险费
每一张生命表都有终极年龄的规定。如美国1980年经验生命表的终极年龄为99岁,我国1990.1993年人寿保险业经验生命表的终极年龄为105岁。因此终身寿险可看做是一种长期的定期保险,将保险期限视为叫ω ?x+1年,终身寿险的趸缴纯保险费公式为:

4.两全保险的趸缴纯保险费
两全保险是指在保险期限内不论被保险人生存还是死亡,保险人均需给付保险金。因此两全保险的趸缴纯保险费等于定期生存保险纯保险费与定期死亡保险纯保险费之和。即

5.定期年金保险趸缴纯保费
定期年金保险分为两类,期首付定期年金和期末付定期年金。用

表示期首付定期年金的趸缴纯保费。
假设x岁时有lx人参加,对于期首定期年金,每个人都可在参加时得到1元年金给付,给付的现值为lx;,第二年年初时有lx+1人存活,得到的年金给付现值为

;到第n年年初,有lx+n ?1人存活,得到的年金给付现值为

。
由于趸缴纯保费总额应该等于所有年金给付现值的和,则有

在实务中,为计算方便,常采用换算基数表中Cx、Dx、Mx、Nx来替换上述复杂公式的计算,其中,




在换算基数表中可以查到相应数据。








