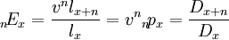
假设(x)投纯粹的生存保险,保期为n年,如果n年后仍存活,将得到1单位元的保险金,求这一保险在投保时的现值。
(1)

表示这一现值
(2)设x岁时,有lx人购买了这种保险,于是在(x+n)岁时,将有l(x+n)人存活。
则有:

即:

(3)

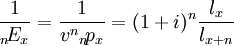
现实意义的解释:

:在利率和生者利下n年的折现系数;

:在利率和生者利下n年的累计系数。

,
它是利率累积因子(1+i)n与生存累积因子

乘积。
浏览
假设(x)投纯粹的生存保险,保期为n年,如果n年后仍存活,将得到1单位元的保险金,求这一保险在投保时的现值。
(1)

表示这一现值
(2)设x岁时,有lx人购买了这种保险,于是在(x+n)岁时,将有l(x+n)人存活。
则有:

即:

(3)

现实意义的解释:

:在利率和生者利下n年的折现系数;

:在利率和生者利下n年的累计系数。

,
它是利率累积因子(1+i)n与生存累积因子

乘积。