年缴纯保险费的计算包括:定期死亡保险年缴纯保险费、定期生存保险年缴纯保险费、终身寿险的年缴纯保险费、两全保险的年缴纯保险费的计算。
假定A为各类保险的趸缴纯保费,P为年缴纯保费,由于P是每年支付的,设保费每年初缴纳一次,那么保险人各年收取纯保险费的累积现值为

令


则有

因此,只要把各类保险趸缴纯保险费除以

,即可得相应的年缴纯保险费。
1.定期死亡保险年缴纯保险费
符号

代表x岁人投保n年定期死亡保险,保险金额为1元的年缴纯保险费,如果缴费期限与保险期限一致,则有

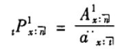
如果缴费期限为t年,保险期限为n年(t
2.定期生存保险年缴纯保险费
符号
表示保险金额为1元的保险期限为n年的定期生存保险的年缴纯保险费,如果缴费期限与保险期限一致,则有
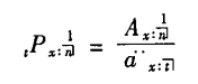
如果缴费期限为t年,保险期限为n年(t
3.终身寿险的年缴纯保费
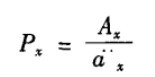
符号tPx,表示保险金额为1元,限期t年缴费的终身寿险年缴纯保险费:
保费采用终身缴费的终身寿险年缴纯保险费的公式为
4.两全保险的年缴纯保费
符号
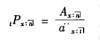
表示保险金额为1元的两全保险年缴纯保险费,如果缴费期限与保险期限一致时,则有
如果缴费期限为t年,保险期限为n年(t

















