[拼音]:relixue wenbiao
[外文]:thermodynamic temperature scale
根据热力学第二定律定义的一种温标,过去也有人称它为开氏温标或绝对温标。它摆脱了以前各种经验温标的缺点,即不依赖于某种特定的测温物质。热力学温标出现后,才使温度测量真正具有了科学意义。由热力学温标所定义的温度称为热力学温度。
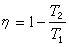
定义早期的各种经验温标都与某一特定的温度计相联系,因而具有很大的随意性。为了克服温标(温度数值定义方法)的这种缺点,人们试图将温标与自然界的某一客观规律相联系。1848年英国物理学家开尔文提出的热力学温标就是这样一种温标。他将温度数值与理想可逆热机的效率相联系,根据热力学第二定律来定义温度的数值,如热机从热源吸收的热量为Q1,传给冷却器的热量为Q2,对外做的有用功为W,根据能量守恒定律有W=Q1-Q2,热机的效率
。根据热力学第二定律,理想可逆热机的效率与工作物质无关,只取决于它工作过程中的两个温度,可将热力学温度定义为正比于理想可逆热机与外界交换的热量的物理量。如用T表示热力学温度,则
,或理想可逆热机的效率
。但是,这个公式只确定了两个热力学温度的比值。为了完全确定热力学温度的数值,又规定热力学温度的单位为水三相点热力学温度的1/273.16,这个单位叫做开尔文,简称开,以符号K表示。按此定义,水三相点的热力学温度为Ttr=273.16K。作了这样的规定后,热力学温度可按公式
标出,式中Qtr为理想可逆热机在水三相点温度 Ttr时放出或吸收的热量,Q为在温度T时吸收(当T>Ttr)或放出(当T<Ttr)的热量。由此定义的温标称为热力学温标。可见,热力学温标自然地就不依赖于任何特定的物质了。由这一热力学温标定义的热力学温度是国际上公认的最基本的温度,它与其他物理量之间的关系,由物理定律和公式确定,而一切经验温标所定义的温度和其他物理量之间的关系,一般只能通过实验才能确定。因此,热力学温度是唯一有科学意义的温度。一切温度测量(包括国际实用温标)最终都应以热力学温度为准。热力学温度除用开表示外,也可用摄氏温度表示,即热力学摄氏温度,常用符号t表示,定义为t=T-273.15。
直接按照上述定义测量热力学温度,是十分困难的,并且测量的准确度也很低。通常采用气体温度计来测量热力学温度。热力学理论可以证明,理想气体温标和热力学温标是等同的。一定量的某种气体,当容积保持不变时,温度与压强成正比,这样就得到一种气体温标,实现这种温标的仪器称为定容气体温度计。如果保持压强不变,利用体积的变化来指示温度,这样的测温仪器称为定压气体温度计。当然,这些气体温标都是经验温标。但实验结果表明:采用不同气体的各种气体温度计(定容式或定压式)的读数彼此差别很小,并且随着参考压强的降低(在水三相点下)而不断减小,这些不同的气体温度计的读数趋近相同的数值。外推到零压强时所得到的温度读数与特定的气体性质无关,这样定义的温标称为理想气体温标,由此得到的温度与热力学温度是完全等同的。用气体温度计测量温度时,只要根据该种气体的维里系数进行非理想气体的改正以及其他某些改正,就能获得热力学温度。气体温度计是测量热力学温度最重要的一种手段。此外,声速温度计、磁温度计和辐射温度计等也都可以用来测量热力学温度(见温度测量)。
热力学温度的单位开尔文现在是国际单位制中七个基本单位之一。热力学温度已经成为一个重要的基本物理量,有着明确的定义。因此,在1968年以后的国际计量局的正式文件中,就不再继续使用“热力学温标”这个术语了。