热机

利用燃料燃烧时产生的能量对外做功的机器。热机是依靠由某些热力学过程组成的特定热力学循环进行工作的。在加热过程中,燃料燃烧向热机供入热量Q1;而在放热过程中,热机向冷源放出热量Q2。循环中所作的功为ΔWQ1Q2,由于Q1>Q2,热机在循环过程中对外做功。

热机的种类很多,按传递能量的媒介质即工质接受燃料释放能量的方式,可以分为两大类:内燃机和外燃机。内燃机中,燃料在热机内部燃烧,生成的气体就是热机的工质。外燃机中,燃料在热机外部燃烧,能量通过热交换器传给工质(如蒸汽)。不论是属于外燃机的蒸汽机还是属于内燃机的汽油机、柴油机等,它们都是靠工质在气缸内膨胀推动活塞往复运动实现对外作功的,都可称为往复式热机。汽轮机,汪克尔转子发动机等则是靠工质推动叶轮或转子回转运动实现对外作功的,故称为回转式热机。燃气轮机属于内燃式热机,其作功方式与汽轮机相同,因此称为回转式内燃机。这些热机都是依靠高温高压工质推动某个部件作功的。

图

20世纪50年代才发展起来的涡轮喷气发动机、冲压喷气发动机和火箭发动机,按工质接受热量的方式,也应属于内燃机;但其作功是依靠燃料燃烧产生的高温气体喷射所产生的反作用力,所以称为喷气发动机。

内燃机

在内燃机气缸内液体或气体燃料燃烧产生的能量直接转变为机械功,能量的利用比较好,效率比蒸汽机高。

汽油机

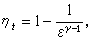
其工作是靠活塞在气缸中的往复运动完成的。当活塞在气缸顶端时,进气阀打开,气缸吸入汽油蒸气和空气的混合气体,这个过程称为进气过程(图1中0-1过程)。随后,进气阀关闭,活塞上行对混合气体进行压缩,这就是压缩过程(图1中1-2过程)。当活塞再次接近气缸顶点时,火花塞产生电火花,混合气体燃烧,使气缸内压力和温度迅速上升, 这就是加热过程(图1中2-3过程)。燃烧产生的高压气体的膨胀向下推动活塞,这就是膨胀过程或称为工作过程。在此过程中,活塞在气缸内作直线运动,利用曲柄机构将直线运动转变为旋转运动对外作功(图1中3-4过程)。随后排气阀打开, 气缸内的压力降到差不多等于大气压力,这个过程称为排气过程或放热过程(图1中4-1过程)。上升的活塞把大部分剩余废气排出, 称为扫气过程(图1中1-0过程)。汽油机可以看作是按照奥托循环工作的一种发动机。图2是奥托循环的p-V图,图中从0点开始沿0-1线吸入混合气体,并从1点沿1-2线将气体绝热压缩到2点,由2点开始沿2-3线等容地输入热量Q1到 3点,然后由3点沿3-4线绝热膨胀到4点,最后沿4-1线放出热量等容冷却到1点,此后循环重复进行。图2中1234包围的面积为输入功,其热效率为

式中γ 是定压比热容与定容比热容之比,ε是气缸内气体的最大体积 V1同最小体积V2之比,,称为压缩比。在汽油机中发动机的热效率随着压缩比的增加而增加;压缩时气体的温度要升高,但不能超过混合气的燃点温度,因此压缩比不能太大。近代汽油机的压缩比限制在4~10之间。汽油机的热效率约在 40%左右。汽油机被广泛用作汽车、拖拉机、飞机等的驱动动力。转子发动机(图3)是用转子的旋转运动代替往复运动的活塞进行压缩和膨胀,其工作原理与汽油机相同。由于去掉了曲柄连杆机构,因而重量减轻了很多(大约30%)。

图1 图2 图3 柴油机

使用挥发性较低的柴油做燃料,不需要火花塞点火。当活塞急剧压缩气缸内的空气,使其温度升高,超过柴油的燃点后,由喷油嘴喷出雾状柴油,在气缸内自行燃烧。 这种发动机又称为压缩-点火发动机。图4是柴油机的工作原理以及描述其工作过程的狄塞尔循环的p-V图。0-1线表示空气在吸入过程中被吸入到气缸,并沿1-2线绝热压缩到2点,2点的空气温度可使喷入气缸内的柴油不需要火花塞点火而自行燃烧,但燃烧速度不如汽油机快,2-3线表示燃烧过程是在等压下进行的,然后沿3-4线绝热膨胀到4点,并沿4-1线等容冷却到1点完成一个循环。柴油机的热效率为:

式中γ 和ε分别为比热容比和压缩比,而称为膨胀比,表示加热时工质所进行的膨胀。ρ 值愈大,发动机的效率愈低;ε 愈大,效率愈高。柴油机可以有较大的压缩比,通常限制在15~18之间。热效率在40%左右。柴油机比汽油机笨重而能发出较大的功率,因而常用作大型卡车、机车和船舰的动力装置。

图4 图5

外燃机

在外然机中,燃料的燃烧是在气缸以外进行的。例如推动蒸汽机和汽轮机的蒸汽就是在蒸汽锅炉里产生的。其工作过程可用兰金循环来描述。如图5所示,通过给水泵将水送入锅炉,水在锅炉内接受燃料燃烧产生的热量Q1(2-3过程)变为蒸汽,再使蒸汽过热,使其温度高于锅炉的温度。然后蒸汽在发动机内(蒸汽机或汽轮机)绝热膨胀对外做功W(3-4过程),这一过程使蒸汽降温,而后进入冷凝器凝结成水,并放出热量Q2。冷凝的水通过给水泵又送入锅炉,完成一个循环。

蒸汽机

蒸汽进入汽缸内,利用蒸汽膨胀推动汽缸内的活塞作往复运动,并由曲柄将活塞的往复运动转换为旋转运动。蒸汽机的特点是构造简单、工作可靠,并容许超负荷40%~50%较长时间工作。虽然其效率不超过10%~14%,比内燃机和汽轮机低,但由于可使用价格较低的煤,在一些工业、铁路及水路运输部门中,目前还在使用。

汽轮机

是一种旋转式蒸汽动力装置,它利用通过固定喷嘴加速的汽流喷射到叶片上,使装有叶片排的转轴旋转,同时对外作功。汽轮机常作为大型动力设备而应用于冶金工业、化学工业和舰船动力装置,并且是现代火力发电厂的主要设备。为了节约能源,正发展热-电联产型汽轮机及蒸汽和燃气联合循环装置。这些措施都将进一步提高火力发电厂的经济性。

喷气推进发动机

把燃料和氧化剂送入燃烧室内燃烧,产生高温高压气体,在喷管内燃料燃烧产生的热能转变为高速喷出气流的动能,根据动量守恒定律,反作用力沿气流运动相反的方向作用于发动机上,喷气发动机就利用这反作用力作功。当用空气做氧化剂时,就称为空气喷气发动机,这种发动机需要机外供给空气,只使用在大气层内高速飞行的喷气式飞机中。由于大气外层空间没有空气,因而火箭发动机本身既要携带燃料又要携带氧化剂。由于它工作时不需外界供给空气,因此是惟一适用于宇宙航行的发动机。

参考书目
  1. D. A. Wranghan,Theory and Practice of Heat Engines,Cambridge Univ. Press, London, 1956.
  2. Ε.И.迦迦林、С.Β.鲁德聂夫著,余克缙等译:《热机学》,高等教育出版社,北京,1957。
  3. W.L.Haberman and James E. A. John,Engineering Thermodynamics, Allyn and Bacon,Inc.,Boston,1980.

参考文章