[拼音]:liangzi diandonglixue
[外文]:quantum electrodynamics
量子场论发展中历史最长和最成熟的分支。简写为QED。它主要研究电磁场与带电粒子相互作用的基本过程。在原则上,它的原理概括原子物理、分子物理、固体物理、核物理及粒子物理各领域中的电磁相互作用过程。它研究电磁相互作用的量子性质(即光子的发射和吸收)、带电粒子(例如正负电子)的产生和湮没以及带电粒子之间的散射、带电粒子与光子之间的散射等。从应用范围的广泛、基本假设的简单明确、与实验符合程度的高度精确等方面看,在现代物理学中是很突出的。
发展过程
1925年量子力学创立之后不久,P.A.M.狄喇克于1927年、W.K.海森伯和W.泡利于1929年相继提出了辐射的量子理论,奠定了量子电动力学的理论基础。在量子力学范围内,可以把带电粒子与电磁场相互作用当作微扰,来处理光的吸收和受激发射问题,但却不能处理光的自发射问题。因为如果把电磁场作为经典场看待,在发射光子以前根本不存在辐射场。原子中处于激发态的电子是量子力学中的定态,没有辐射场作为微扰,它就不会发生跃迁。自发射是确定存在的事实,为了解释这种现象并定量地给出它的发生几率,在量子力学中只能用变通的办法来处理。一个办法是利用对应原理,把原子中处于激发态的电子看成是许多谐振子的总和,把产生辐射的振荡电流认定与量子力学的某些跃迁矩阵元相对应,用以计算自发射的跃迁几率。从这个处理办法可以得到M.普朗克的辐射公式,以此反过来说明对应原理的处理是可行的。另外一种办法是利用A.爱因斯坦关于自发射几率和吸收几率间的关系。虽然这些办法所得的结果可以和实验结果符合,但在理论上究竟是与量子力学体系相矛盾的──量子力学的定态寿命为无限大。
狄喇克、海森伯和泡利对辐射场加以量子化。除了得到光的波粒二象性的明确表述以外,还解决了上述矛盾。电磁场在量子化以后,电场强度E和磁场强度H都成为算符。它们的各分量满足一定的对易关系,它们的“期待值”(即实验中的测量平均值)应满足量子力学的测不准关系,它们不可能同时具有确定值(即均方差同时为零)。作为一个特例,它们不可能同时确定为零。在没有光子存在的状态(它被称为是辐射场的真空态)中,E和H的平均值为零。但E2与H2的平均值不为零(否则均方差就同时为零了)。这就是量子化辐射场的真空涨落。它与量子力学中谐振子的零点能
十分类似。场在量子化以后,产生和湮没成为普遍的、基本的过程。因此在原子处于激发态时,虽然没有光子存在,电子仍能向低能态跃迁并产生光子。从辐射场量子理论的表述出发,可以计算各种带电粒子与电磁场相互作用基本过程的截面,例如康普顿效应、光电效应、轫致辐射、电子对产生和电子对湮没等。这些结果都是用微扰论方法取最低级不为零的近似得到的,与实验有较好的符合。但不论是那一种过程,计算高一级近似的结果时,一定遇到发散困难,即得到无限大的结果。这一点是J.R.奥本海默在1930年首先指出的。此后十几年中,尽管在许多电磁基本过程的研究上,以及在高能辐射在物质中的贯穿和宇宙线的级联簇射等方面的研究上,量子电动力学继续有所发展,但在解决基本理论中的发散困难上仍处于相对的停滞状况。
1947年实验物理学提出了挑战。在此以前,狄喇克相对论波动方程对描述电子行为是十分成功的:它能预指出电子自旋为1/2,磁矩为
(称为玻尔磁子),所给出的氢原子能级和实验也符合得较好。由于实验技术的迅速发展,更精确的测量给出氢原子的2P1/2和2S1/2态能量稍有差别,而狄喇克方程给出这两个状态能量相同。这个差别称为兰姆移位。另外,电子磁矩也略偏离于一个玻尔磁子。在此以前曾考虑过,电子是要和电磁辐射场的真空涨落相互作用的。但计算这种相互作用能遇到了发散困难,因此被搁置起来。在确切的实验结果面前,就非解决不可了。兰姆移位发现后一年,H.A.贝特就作了一个估算。他考虑处于2S1/2和2P1/2态的电子和真空涨落的相互作用能虽然都是无限大,但经过一些近似处理它们的差可得出有限值,而且和实验定性符合。于是如何从无限大中分出有意义的有限部分就成为一系列新的计算的共同指导思想,虽然这些尝试都还比较成功,但它们都有一个共同的问题:从无限大分出有意义的有限结果的过程都很繁琐而且不很可靠。因此需要找出明确、简洁而且在理论上有根据的办法,它的结果还要和实验符合。
新的理论体系是由R.P.费因曼、J.S.施温格、朝永振一郎、F.J.戴森等人在1948~1949年建立的。他们用“重正化”的概念把发散量确切而不含混地归入电荷与质量的重新定义之中,从而使高阶近似的理论结果都不再包含发散。发散量的处理充分利用了相对论协变性和规范不变性。新理论表述之所以能够作到确切地处理发散量,是因为从一开始就把理论表述严格地建立在相对论协变形式及规范不变要求的基础之上。
在新的理论表述形式下进行了各种过程的高阶修正的计算,这些结果都满足了由于实验条件和精确度的提高对理论提出的愈来愈高的要求。量子电动力学是一种规范场的理论。将电磁作用和弱作用统一起来是量子场论的一个重要发展阶段。电弱统一理论的标准模型以及描述强相互作用的量子色动力学都是属于规范场理论的范畴。它们的建立都从量子电动力学的理论及方法中得到借鉴和启示。从量子电动力学的研究中建立起来的重正化理论不仅用于粒子物理,而且对统计物理也是有用的工具(见相和相变、重正化群)。
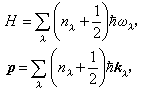
自由电磁场的量子化真空中电磁场的电磁势可以看成是具有不同波矢kλ的平面波的叠加,在叠加中平面波λ成分的展开系数称为qλ。电磁场的能量可以通过qλ表示:
此处
是平面波 λ的角频率。上式右方正是谐振子(角频率为 ωλ)能量之和。因此,可以把电磁场看成是无穷多谐振子的集合。这是一个无穷多自由度的力学体系:qλ是广义坐标;pλ=妜λ是广义动量。根据量子力学,体系的广义坐标算符和正则共轭的广义动量算符应满足对易关系。如将上式中的qλ及妜λ当作这样的算符,则可以把场的能量及动量算符表示为:
式中nλ是处于状态 λ上的光子──电磁场的量子──数算符。场的量子化实际上是量子力学的自然的推广:把有限自由度力学体系的量子化推广到无穷维自由度的力学体系中。以上的量子化过程表明,从场的观点出发,经过量子化就得到了粒子图像:场的能量(动量)即分别是光子的能量(动量)的和。场量子化以后,代表场的电磁势就成为算符,它包含各个状态 λ的光子的产生和湮没算符,以在理论中反映光子的发射和吸收。这就在理论中体现了波粒二象性。
量子化的电磁场具有一个重要的特点,即有真空涨落。这种真空涨落是有直接观测效应的。例如,由于真空涨落,不带电的平行板电容器极板间存在微弱的引力,而这点已由实验所证实。当然,最重要的例子还是氢原了能级的兰姆移位。这个效应的90%是由于电子和电磁场的具空涨落相互作用造成的。
自由电子场的量子化狄喇克相对论波动方程成功地描述了电子的微观性质。为了解决方程的负能量解所带来的困难,狄喇克提出了“空穴理论”。空穴理论既预言子电子的反粒子──正电子──的存在,也预言了电子对的产生和湮没两种现象的存在。但空穴理论也带来了无限大的真空能量和无限大真空电荷密度的问题。这些困难可以在将狄喇克场量子化时适当定义负能量粒子湮没算符为反粒子产生算符就可以避免。在相对论性的理论中,不存在真正的单粒子问题。即使是真空态(即电子数与正电子数均为零),也有电子对涨落,而要描述粒子数变化并能避免上述的空穴理论的困难,就必须对电子场进行量子化。对电子场进行量子化,不能采取将共轭力学量作为满足对易关系的算符处理。在电磁场量子化时采取了对易关系,其结果就是处于一定状态的光子数算符的本征值取0、1、2、……等值。但电子是满足泡利不相容原理的。在一个状态上的电子数目只能是0或1。要得到这个结果,必须用反对易关系来代替对易关系:
此处bλ与
各代表λ态上电子的湮没算符及 μ态上电子的产生算符。
两种不同的量子化方法促使泡利研究自旋统计关系。他发现自旋为整数的粒子(例如光子)服从玻色—爱因斯坦统计,在进行场的量子化时应该用对易关系;自旋为半整数的粒子(例如电子)服从费密—狄喇克统计,在进行场的量子化时应该用反对易关系。对电子场 ψ(它满足狄喇克方程)进行场量子化以后也得到场量子(电子和正电子)的粒子图像。
量子化电磁场的极限就是经典电磁场(例如无线电波),在光子数目很大时,电磁场的性质就由经典的麦克斯韦方程组描述。量子化电子场 ψ却没有类似的经典极限,因为在一个状态上最多只能存在一个电子。相应的“经典”场方程就是描述单个电子的狄喇克方程,它显然不是经典的。只有在对电子的描述可以粗略到 ΔpΔq>>啚时,狄喇克电子理论才归结为满足狭义相对论的经典力学方程。
相互作用的量子化场根据量子场论的观点,粒子间的相互作用都是通过场与场的相互作用实现的。相互作用场的哈密顿量可以分为两部分
H=H0+HI,
H0是自由电磁场与自由电子场的哈密顿量之和。它的本征态就是具有一定光子数与一定电子及正电子数的状态。HI代表电磁场与电子场的相互作用,它与
成正比。此处γμ是狄喇克矩阵;ψ和 徰是电子场及其狄喇克伴随场算符,它们分别代表电子湮没(或正电子产生)和电子产生(或正电子湮没);Aμ是电磁势算符,代表光子的发射或吸收。自由场的量子场论(由 H0所代表)是可以精确解的。但相互作用场的量子场论(由H=H0+HI代表)难于求到精确解。只是由于精细结构常数
是个小量,可以把HI当作微扰处理。它的作用是在H0的本征态之间产生跃迁。跃迁可以不涉及粒子数的变化而只是改变粒子的运动状态(例如康普顿散射),也可以包括光子、电子和正电子数目的变化。相互作用 HI作用在H0的某一个本征态上可以发生以下的跃迁过程(图1):
(1)电子吸收或发射一个光子之后改变其运动状态,以图1a表示;
(2)正电子吸收或发射一个光子之后改变其运动状态,以图1b表示,图中与时间方向相反的箭头表示正电子(电子的反粒子);
(3)光子转变为电子—正电子对,以图1c >表示;
(4)电子—正电子对湮没为光子,以图1表示。
由于能量—动量守恒的要求,单独由HI作用一次还不能构成实际过程。例如康普顿散射
电子(四动量p)+光子(四动量k)→电子(四动量p')+光子(四动量k')
的最低阶由图2a组成,这个图是由HI作用两次(图上相应有两个顶点),其振幅与电子电荷的二次方值e2成正比,而几率与e4即与精细结构常数的二次方值α2成正比。正负电子对湮没为两个光子最低阶由图2b组成。
费因曼发现每个过程都可以用相应的图表示,称为费因曼图。他并给出计算有关过程跃迁几率的计算规则,称为费因曼规则。虽然早期的微扰计算也可以得出最低级近似的结果,但为了计算高阶近似就需要用重正化方法处理发散问题,用新的理论表述。费因曼规则就是最常用的方法。一个有n个顶点的图,其振幅正比于en;而几率正比于e2n,即αn。
对电子与光子相互作用的基本过程,包括对许多过程的高阶近似(称为辐射修正)已经广泛地开展了研究。下面列举一些主要的过程。
(1)电子(正电子)与光子相互作用。束缚电子对光子的吸收和发射、康普顿散射(自由电子对光子的散射)、轫致辐射、光电效应、光子产生正负电子对,正负电子对湮没为光子、束缚电子对光子的散射等。
(2)电子(正电子)间的相互作用。电子-电子散射、正电子-电子散射、两个电子间的有效势、电子—正电子间的有效势、电子偶素等。
由于μ-子质量为电子质量的207倍,μ-子原子(即原子中一个电子为μ-子所取代)中μ-子与核的距离比电子的要小得多,它对与原子核的相互作用更为敏感。关于μ-子原子的性质(包括辐射修正)也进行了不少研究。正负电子对转化为正负 μ子对也是检验量子电动力学和研究μ子性质的重要手段,因此也受到重视。
除上述基本过程以外,量子电动力学还有一些重要的综合应用。了解高能辐射在物质中的贯穿对进行核物理及高能物理实验以及辐射屏蔽计算都很重要。以高能γ射线为例:它进入物质后,可以发生三种效应──电子对产生、康普顿散射和光电效应。随着辐射能量不同,三种效应的相对重要性也因之而异。另外,一个过程还会产生“次级效应”。例如,高能γ射线进入物质,产生了正负电子对。产生的高能电子和正电子又可以产生轫致辐射,发射出高能γ量子。这个高能量子又能产生正负电子对等等。一个高能电子进入物质可以因轫致辐射产生高能γ量子,高能γ量子又产生正负电子对等等。宇宙线的级联簇射就是由于这类多级过程构成的。基于量子电动力学过程基础上建立起来的宇宙线级联簇射理论在30年代后期到40年代初期已经能够较好地说明实验现象(见宇宙线物理)。
重正化及辐射修正解决发散困难的指导思想就是把理论中所有能产生发散的基本费因曼图找出,并通过重新定义一些参量对它们进行处理。在理论中开始引进一些参量如电子电荷e0及质量m0。在考虑了各类、各级修正之后,发现包含发散的基本图有三种,即电子自能、真空极化和顶角修正。在理论中恰好能够通过重新定义电子的电荷、质量和场量 ψ把这些发散吸收进去。例如,可以重新定义电子质量(称为重正化质量)me=m0+δm,此处δm是各级修正中的发散量,然后把me解释为实验观测的电子质量。至于m0,它是不可观测的,因为它代表电磁场不存在时的电子质量,而不和电磁场相互作用的电子是根本不存在的。经过重正化的处理后,各阶修正的结果都不再包含发散。计算的各阶辐射修正可和实验进行比较。著名的两个例子是兰姆移位和电子磁矩。
兰姆移位由两部分修正构成的。一是真空极化效应。由于真空中有虚电子对,因此氢原子的原子核(即质子)就使真空极化,吸引一部分负电荷靠近它,而将正电荷推离它。这种情况是和媒质类似的。由于极化电荷的存在,质子的电场受到屏蔽。在一定距离处观察质子,它的有效电荷比原有值为小。距离愈小,有效电荷愈大。氢原子的2S1/2态电子距核较2P1/2态的电子为近,感受到的质子有效电荷较大,因此修正的能级位置相对要较低。另一部分修正是电子与电磁场的真空涨落相互作用。它的修正和第一部分的趋势相反,2S1/2能级的修正较高。第二部分是主要的,它比第一部分修正要大一个量级。例如,有一组人计算得到的理论值是
,
而实验值是(1057.862±0.020)兆赫。
电子磁矩量子电动力学计算的磁矩值由于高阶修正偏离一个玻尔磁子
。1918年施温格计算了α一阶修正,结果是
,而1981年有人计算了α四阶修正,得出
μe=1.001159652460(148)μB
而实验值是
μe=1.001159652209(31)μB
这种实验的和理论计算的精确度以及它们符合的程度在整个物理学领域中都是罕见的。
重正化对发散困难的解决并不彻底。它只是用适当的办法把发散分为两部分:抽出有意义的有限项而把剩余的发散和物理上不能直接测量的量合并起来重新定义为物理上的实测量。它并没有从理论中将发散消除。
理论的困难、应用范围及实验检验量子电动力学中的发散问题仍有待于根本解决。另外,量子电动力学是把电子当作基本场看待的。作为粒子,它是点状的,也就是没有结构的。当然,在一定的阶段(即能量小于一定限度,或距离大于一定限度)时,这种考虑是合理的,也是必要的。但是这些界限的值是多大,实验物理学多年来一直在探索这个问题,目的是要观察在短矩离(高能量)情况下电子偏离点状的情况。当前,探索的最有力的工具是正负电子对撞机,因为它可以获得质心系中很高的能量。用对撞机可以研究正负电子对转化成正负μ子对的反应
。
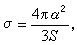
根据量子电动力学(带电轻子为点状),在能量远大于电子静止能量时这个过程的截面的最低次近似值是
S是质心系能量的二次方。如果在S值很高时发现截面偏离包括辐射修正在内的相应公式的值时,可能就是电子偏离点状的信号。目前的结果是:在质心系能量为38GeV时在10-16cm以外电子可以认为是点状的,或者说电子如有结构,也至少要在10-16cm以下。今后的高能正负电子对撞机可以把这个界限继续往下压缩,或许在距离小于某一极限时发现电子结构。
现在量子电动力学的计算结果都要依靠微扰论。这是基于
是个小参量的前提之上的。但由于真空极化效应,在距离愈来愈小时,α 的值随着电荷的有效值增大。这迟早会使基于微扰论的结果失效。但实际上这要到距离小到
亦即1.22×10-70厘米时才会发生。但早在到达这个距离之前就必须考虑其他效应了。当距离小到史瓦西半径1.352×10-55厘米时,电子周围的时空度规已显著偏离闵可夫斯基度规,而引力作用就必须加以考虑。在这以前就会遇到普朗克距离1.616×10-33cm(相当1.221×1019GeV),此时时空度规会发生较大的涨落,量子引力就应予以考虑(见广义相对论)。根据SU(5)的大统一理论,到距离1.97×10-29cm(相当1015GeV)电磁耦合常数就和弱相互作用、强相互作用的耦合常数汇合在一起成为大统一的耦合常数了,而它将随距离减小而下降。看来极为可能的是,距离小到一定程度时,电子已不仅和电磁场相互作用,而其他相互作用在强度上都会和电磁作用相比,因而会出现具有丰富内容的物理现象,从而使人类有可能揭示更深刻的物理规律。事实在已经观察到电弱统一理论的标准模型中所预言的电磁相互作用和弱相互作用的干涉效应。
- 参考书目
- W.Heitler,The Quantum Theory of Radiation, 3rd ed.,Oxford Univ. Press, Oxford,1954.