[拼音]:pianweifen fangcheng chuzhi wenti chafefangfa
[外文]:finite difference method of initial value problem of partial differential equation
一种求解偏微分方程初值问题的主要数值方法。许多连续介质的运动过程都可表示成含时间 t的偏微分方程。最简单的有双曲型的对流方程
(1)
和抛物型的扩散方程
(2)
式中α和σ是常数。当u的初始状态(设为t=0时的状态)给定后,常要研究这些过程在t>0后的演化,在数学上就是给定初值
(3)
后求微分方程在|x|<∞,t>0时的解u(x,t)。这种问题叫作初值问题
初值问题(1)、(3)的解为
(4)
初值问题的差分方法包含下列步骤和问题,先把问题的求解区域进行网格剖分,再在格子点上按适当的数值微分公式把问题中的微商换成差商,从而把微分问题离散化,得到差分格式,最后求出差分格式的数值解。差分格式的解的存在性和惟一性,有时并不显然,需要论证。解的求法和解法的数值稳定性也需要研究。此外,还要估计差分问题的解与微分问题的解的差别,研究在网格步长趋于零时前者对后者的收敛性以及差分问题的解是否连续地依赖于初值,即稳定性的问题。
微分方程定解问题的离散化(差分格式的建立)以初值问题(1)、(2)为例,在x-t平面上作两族平行于坐标轴的直线
对初值问题(1)、(2)的求解区域进行网格剖分,如图
所示(网格线之间的距离,也可以是不相等的)。网格线的交点叫作格点,在格点(jΔx,nΔt)上,由数值微分公式
及方程(1),可得(1)的另一种表达式
略去其中O(Δx2+Δt)项,即得一个差分方程。原问题的解u(x,t)自然不能满足这个差分方程。用
表示这差分方程的解,则
适合
(6)
把微分方程(1)的充分光滑的解u(x,t)代入式(6),其误差为 O(Δx2+Δt),叫作差分方程的截断误差, 它对空间x是二阶的,对时间t是一阶的。式(6)就是一个把微分方程(1)离散化而得的差分方程。它联系着点(jΔx, nΔt)及其相邻格点上的u(x,t)的近似值。在计算时,式(6)常写为
(7)
根据差分方程,可依次从
算出
,
,…等。
离散化过程并不惟一,因而可有不同的差分格式。例如,由
(8)
就可得差分方程
(9)
亦即
这个差分格式的截断误差对空间和时间都是一阶的。
差分格式的相容性当Δt和Δx都趋于零时,若差分格式的截断误差也趋于零,则称差分格式与微分方程是相容的。相容性说明Δt和Δx越小差分方程与微分方程越接近。上面的差分方程 (7)和(9)都是微分方程(1)的相容格式。
差分格式的收敛性设P(
,
)是求解区域中的一点,取Δx与Δt使
=jΔx,
=nΔt用差分格式算出
。如果当Δt和Δx趋于零时,
-u(
,
)也趋于零,则可用
作微分方程的解u(jΔx,nΔt)的近似,并称此差分格式是收敛的。
也称CFL条件,是A.A.库朗、K.O.弗里德里希斯和H.卢伊三人1928年在一篇著名文章中提出的。双曲线微分方程的解, 对某一点(
,
)而言,在初值区域内有一个依赖区域。差分方程也是如此。对同一个微分方程,相容但不相同的差分格式的依赖区域可以不同。对于差分格式(7),点(jΔx,nΔt)的依赖区域是初值线,t=0上的区间[(j-n)Δx,(j+n)Δx]。如令Δt/Δx=r=常数,
=jΔx,
=nΔt,则点
、
的依赖区域为[
-
/r,
+
/r],可见对于固定点(
,
),若步长比r固定,依赖区域的大小与Δt和Δx 的大小无关。差分方程(9)的依赖区域则是[
-t/r,
]。库朗条件是:差分格式收敛的一个必要条件是差分方程的依赖区域包含微分方程的依赖区域。用它可判断哪些格式不收敛。 微分方程(1)在点(
,
)处的依赖区域是点(
-α
,0)。所以,格式(7)的库朗条件是
即
格式(9)的库朗条件则是
同时,库朗条件指出α<0时,格式(9)不收敛。因此当α<0时,格式(9)是无用的。
库朗条件只是收敛的必要条件。收敛性还需有正面证明,当α>0时,格式(9)在库朗条件
(10)
下的确是收敛的。
如果α<0,当
时,格式
也收敛。这两个格式称为迎风格式,因为当α>0时,
用向后差商往上风取近似值;当α<0时,用向前差商代替
,同样也是往上风取近似值。
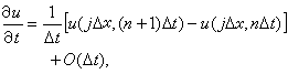
用一个差分格式计算
时,初值
的误差必然要影响到后面的
,但希望这误差的影响不要越来越大以致完全歪曲了差分方程的真解,这便是稳定性问题。对于常系数线性偏微分方程的稳定性理论,J.冯·诺伊曼系统地运用傅里叶分析作了研究,把差分方程的解表示成谐波的叠加,考察其中一个谐波
(11)
的增长情况,式中k为实数,G=G(k,Δt称为增长因子。若对于一切谐波,(11)的振幅一致有界,即对于一切适合于0≤nΔt≤T的n 和充分小的Δt都有|Gn|≤k,k为常数,则此差分格式是稳定的。例如,对格式(6)
故当sinkΔx≠0时,恒有|G|>1,所以格式(6)尽管是相容的格式,并且满足库朗条件,但它却是不稳定的。
又如对格式(9)
而
故当
,即满足库朗条件时,|G|≤1,所以格式(9)是稳定的。
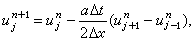
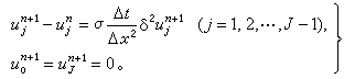
对于扩散方程的初值问题(2)、(3),采用记号
可有差分格式
(12)
若初值为以 1为周期的函数,且u(0)=u(1)=0,又若J=1/Δx,则差分格式(12)还应有边界条件
(13)
也可以用差分格式
(14)
这两种格式,前者可以由n层格点上的
直接计算
+1,叫做显式格式。显式格式与(2)是相容的,它的截断误差为 O(Δx2+Δt);如
为常数, 则当
时它是收敛的和稳定的,带有边值条件的差分格式(14),是含未知数
+1(j=1,2,…,J-1)的一组线性联立方程组, 这种格式叫做隐式格式。它的解存在、惟一,并且可用追赶法求解。当r取任何正值时,它都是稳定的,其截断误差也是O(Δx2+Δt),由于r无限制,Δt比显式格式可相对取得大一些,当然Δt太大了,也要影响到截断误差。
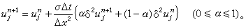
把格式(12)和(14)组合起来,又可有格式
(15)
它的截断误差为
它的稳定性条件是:
当
时,这格式叫荷瑞克-尼考松格式,
它也是隐式格式,它的截断误差是O(Δx2+Δt2)比四点隐式格式(14)好,但工作量却略大一些。
对于线性偏微分方程组的适定的初值问题,一个与之相容的线性差分格式收敛的充分必要条件是这格式是稳定的。
这个重要定理说明,在差分格式的收敛性与稳定性两个问题中,对于适定的线性偏微分方程问题,只须证明比较容易证明的相容性与稳定性。
- 参考书目
- R.D.Richtmyer and K.M.Morton,Difference Methods for Initial value Problems,2nd ed., Interscience, New York, 1967.