[拼音]:pengzhuang zuni
[外文]:collision damping
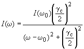
由辐射原子和扰动粒子的碰撞引起的谱线致宽机制,又称碰撞致宽。碰撞致宽理论最早是洛伦兹提出的。他认为,当辐射振子受到碰撞时,振动会突然中断。碰撞期间发射中断,此后再发射的辐射与碰撞前的辐射相位是无关的。因此由角频率为ω0的谐振子发出的是一段一段有限长度的波,其长度由两次碰撞的间隔时间决定。把辐射波按时间长度的分布概率考虑在内,可以得到由辐射阻尼确定的辐射强度I(ω)的分布,即
,
式中γc为碰撞阻尼常数。
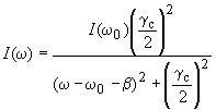
考虑到碰撞前后扰动质点接近辐射原子时辐射波的相位变化,可以得到更为一般的辐射强度分布形式:
。
这表示除了谱线加宽外,还有谱线中心的位移量β(极大值不在线心ω=ω0处)。由碰撞阻尼确定的吸收系数,按频率的分布与辐射强度的分布类似。