[拼音]:liuti lixue de nengliang fangcheng
[外文]:energy equation in fluid mechanics
是在密度均匀情况下反映机械能守恒的方程;在考虑密度、温度、内能变化时,反映包含内能的能量守恒定律(见热力学第一定律)的方程。根据所考虑的因素多少,流体力学的能量方程具有不同的形式。对于流场中一切量都是光滑函数的情况,它可列成微分方程形式,有时也可以积分形式写出;在某些对准确度要求不高的情况下,可以列成较粗略的但数学上大为简化的代数关系式。
能量方程中包含动能、彻体力(如重力)的势能(对于气体,如果空间范围不大,重力的势能可忽略不计)和功(压力 p做的功或粘性力做的功)。在考虑密度ρ变化的情形,能量方程必须包含内能U;在考虑粘性时还要考虑由于内摩擦引起的机械能的损耗(转变为热能)和由于热传导引起的热能在流体质点间的传递。有时还要考虑化学反应能、辐射形式传热等。应用范围广泛的使用了很久的一些能量方程有如下几种形式:
无粘不可压缩流体的能量方程对于无粘、密度均匀不变的流体,伯努利方程反映了机械能守恒。流体力学的理论说明它是定常流运动中欧拉方程沿流线的积分,因此,原则上它来自动量守恒定律。
无粘可压缩流体的能量方程在无粘、可压缩(密度在运动中有显著变化)流体的能量方程中要考虑热力学温度T 和内能U 的变化。如果限于绝热运动,对流体质点列能量方程时,还要用到热力学的概念和最简单形式的热力学第一定律
, (1)
式中 dQ、dU 分别为加于单位质量的热量、内能的变化。曾经把满足方程p=ρrT的气体叫做理想气体,自20世纪中期以来在流体力学中则把它改称为完全气体。对于常比热容完全气体模型,还把定容比热容сv、定压比热容Cp都看作是常数,且r=сv(γ-1),式中γ=сp/сv称为比热容比又称绝热指数。当无粘常比热容完全气体的密度变化时,压力所做的功为
。
把式(1)除以热力学温度T可得
。 (2)
在热力学中把
定义为比熵s的微分。式(2)表明了无粘、可压缩流体在作绝热运动时,每一流体质点的熵在运动过程中保持不变。但这并不是说所有不同的质点的熵都相同。式(2)还具体给出了常比热容完全气体的熵的表达式
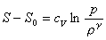
(3)
式中S0是一积分常数。熵不变时由于сv是常数,
也是常数。
对于定常流,利用式 (1)还可沿流线积分欧拉方程,得到无粘、可压缩流体绝热定常运动的伯努利方程(忽略重力,用v代表流速)
常数(除了位势流以外,不同流线的常数不同)。 (4)
或用焓
把式(4)改写成
。 (5)
对于常比热容完全气体,H=сpT同热力学温度T 成正比。可见,式(5) 给出在无粘可压缩流体的绝热定常流动中,沿流线的热力学温度T 随流速v 变化的关系。速度v=0的点(叫驻点)温度最高是T0,温度最低的点流速最大。
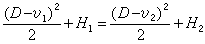
正激波的能量方程正激波是指激波传播的方向是和激波前、后流体速度的方向相同。通过激波的物理量有突跃,且不连续。正激波前、后的物理量分别用角标1、2加以区别。波前同波后的量之间要满足能量守恒定律。在欧拉坐标系中,如果激波以速度D前进;相对于波前流体,它的传播速度是D-v1=u1;相对于波后流体,它的传播速度是D-v2=u2。正激波反映的能量守恒方程是
(6)
不论D是否随时间变,式(6)都成立。如坐标系随激波一同前进,则D=0,这时,式(6)和(5)在形式上就相同了。定常正激波的能量方程就属于这种情况。如图所示的钝头体,在超声速绕流问题中,沿过正激波的流线,由于式(5)和(6)相同,可沿这条流线写成(5),把前方点同驻点(v=0)联系来看,可说明陨石以高速度落入大气层时为什么陨石头部温度会高到引起烧蚀。
以上具体写出的各能量方程都忽略了粘性和热传导这两种同分子输运过程有关的现象,也没有考虑热辐射和化学反应(如燃烧)所生成的热。
一般能量方程如果对质点加热(如用热传导、辐射、化学反应),单位质量流体加的热用Q表示,T表示热力学温度,λ 表示热导率,在单位时间内对单位质量的流体传入的热是
。通常在考虑热传导时还要考虑粘性应力作功,它使动能转化为热,对于单位质量流体这个量
叫做耗损函数。Φ 的表达式对牛顿流体(见本构方程)是
。 (7)
对于牛顿流体,用热力学第一定律导出的能量方程为
(8)
这是最一般流体的能量方程。自20世纪50年代以来,有人还考虑非牛顿流体或是无粘流体中的电磁力效应,也有人考虑掺在流体中的液滴、粉尘(如煤粉、面粉等固体细粉)的运动。每种情况都有各自具体的能量方程。