[拼音]:Oula fangcheng
[外文]:Euler’s equation
连续介质的流体运动方程。它是无粘流体力学的基本方程。这方程是瑞士学者L.欧拉在1755年建立的,它忽略了粘性力的作用,认为相邻两流体隔离体之间的作用力仅为压力。对于气体的一维不定常流动的欧拉方程是:
, (1)
式中t为时间,u为沿坐标s方向流体质点的速度(沿s增长的方向的速度为正),ρ为密度,p为压力。u、p、ρ都是s和t的二元函数。用物理学的术语,这三个函数即是速度场、压力场、密度场。应注意,即使s不变,u、p、ρ 还可能随时间而改变,这是因为流体在运动,在不同时刻有不同的流体质点处在同一坐标为s的位置上。
式(1)的左端为单位质量质点的加速度,它由两项组成:
表示在空间坐标s的某一点速度u的时间变化率,它只反映速度场的时间变化率,而并非物质质点的加速度;
表示以速度u运动的质点,经过微小的时间间隔Δt 后迁移了uΔt 这个位置变化使质点速度u(s,t)改变了
。这一添加项又称做迁移加速度。
式 (1)右端是对于单位质量流体微元压力变化的总作用。式中没有考虑重力加速度g的作用,因为通常所遇到的气体密度很小,可以这样简化,而计算液体的运动时则应计入g的效应。
式(1)中的
都是非线性项,用数学方法求解时比解线性方程难得多。
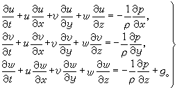
在三维不定常流动的情况下,如果再考虑重力加速度g的作用,并选坐标z轴沿g的作用方向,则欧拉方程组对于速度的三个分量u、υ、w具有下列形式:
(2)
这里只有三个方程,而未知量除u、υ、w外还有p、ρ 。方程的数目少于未知量的数目,无法确定各未知量。要解这个适用于各种不同类型流体的方程组,还需添加其他方程,使未知量的数目等于方程的数目。添加什么方程要根据具体的流体类型和运动类型而定。如果考虑密度均匀的液体,则ρ 不再是未知量,只需添加一个连续方程;如果要考虑ρ 的变化(例如考虑声音传播或马赫数大于1/3的气流)还要再添加状态方程;如果实际情况不满足p=p(ρ)的关系,而必须采用p=ρrT(T为热力学温度),则又多出未知量T,因此又要引用能量守恒定律,导出计及动能、功、内能和化学反应所释放出的能量等等因素的流体动力学的能量方程。
对于简单的密度不变的定常一维流,可以积分得到这种特殊情形的伯努利方程:
。
这个式子的含意是单位质量流体的动能改变是由压力做功引起的。
用数学方法处理欧拉方程时总要加边界条件,例如,流体是在管中流动,或是流体流经一个流线型物体的表面,应该加的边界条件是和管壁或物体表面相接触的流体的速度在固体表面的法线方向的分量为零,流体不会进入固体,但可沿固体表面滑动。边界条件还包括远前方、上下方和远后方的条件。常常还要加初始条件,规定在最初时刻u、υ、w、p、ρ等量在空间的分布状况。