[拼音]:fanxiang qiti sepu
[外文]:inverse gas chromatography
气相色谱法的一种。与经典的气相色谱相反,在反相气体色谱中,把要研究的聚合物作为固定相(通常将聚合物均匀地涂布在惰性载体表面,或将聚合物制成薄膜状、纤维状或粉状装填在色谱柱内),用已知的挥发性化合物作为探针分子随着载气输入到色谱柱,通过合适的检定器测定探针分子流过色谱柱的保留时间;再把保留时间换算成单位重量聚合物的保留体积,称为比保留体积Vg。根据所得的Vg值,可以推算出聚合物与探针分子之间的热力学相互作用参数;或通过Vg随温度的变化和Vg随载气流速的变化等,反映聚合物的某些物理性质。
在气相色谱中,不论是吸附在固定相还是溶解在固定相的气体,其比保留体积总是随着柱温T的升高而减小;且lgVg与1/T呈线性关系。而对于固定相是聚合物的反相气体色谱,当色谱柱温处在聚合物的玻璃化温度Tg以下时,探针分子经过色谱柱时只能被吸附在聚合物表面,当柱温升高到Tg以上时,聚合物的自由体积增大,探针分子可以溶解并扩散到聚合物内部。所以随着温度的升高,在lgVg对1/T的图(见图)中,首先是从A到B线性下降,然后在由玻璃态向高弹态转变时,Vg增大,BC向上弯曲,因而可以确定聚合物的Tg。
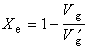
对于结晶性聚合物还可以从图中确定熔融温度Tm,因为在Tm以下,探针分子只能溶解在聚合物的非晶区中,温度升高到接近熔融温度时晶区熔化,探针分子的可溶解范围扩大,Vg也要增大,出现如图中向上弯的DF线。FG是聚合物完全熔化后的曲线,如果将GF线向低温外推,可以求出E处某一指定温度TA时的熔化保留值V媜和H处实际保留值Vg,从而可求出TA时聚合物的结晶度Xe:
熔化后的聚合物在熔融温度以下某一指定温度保持恒温,Vg随时间增加而下降,这可反映结晶生长的过程,因此利用Vg随时间的变化可研究聚合物的结晶动力学。
对于结构相同而分子量不同的低聚物,可以利用同一种探针分子来分别测定它们的Vg值,只要知道其中一种低聚物的分子量,就可算出其他低聚物的分子量。由于探针分子同聚合物的溶解度和保留值是相互对应的,还可利用这一原理挑选合适的分级溶剂。
探针分子经过色谱柱后,lgVg峰有加宽现象。这是由于探针分子在气相和固定相间扩散所致,因此可从峰形的宽度算出探针分子在聚合物固定相中的扩散系数。
利用保留体积随时间的变化来研究各种聚合反应或高分子反应也很方便,而且需要的试样少,不需要采样分析。例如在研究粘合剂的固化反应时,可以在接近实际的实验条件下进行。
由于反相气体色谱方法简便,不论是用于动力学测量还是热力学测量,都具有它的优越性。