[拼音]:yuzhou nianling
[外文]:age of the universe
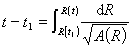
宇宙是指宇宙学中的模型宇宙,年龄是从某一特定时刻到现在的时间间隔。根据宇宙学原理,利用罗伯逊-沃尔克度规、爱因斯坦场方程和物态方程,可有宇宙标度因子R(t)的二阶方程:
积分一次得:
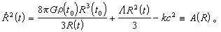
上二式中的引力常数G及宇宙常数Λ、密度ρ(t0)、R(t0)和空间曲率署符 k都可由现在时间t0所作的观测来决定,所以A(R)是已知的。分离变量并积分,最后可得:
。
由上式可算出对应于宇宙标度因子R(t)的两个值之间的时间间隔。在特殊情况下,对应于R(t1)=0与R(t0)之间的时间间隔,称为宇宙年龄。在以t为横坐标,R(t)为纵坐标的图1上,可以定性地研究 R(t)的变化。图中原点是宇宙的起点;时间t就是固有时,或叫宇宙时;t0是现在的宇宙时,在Λ=0的宇宙模型中也代表宇宙现在的年龄。图1中给出对于k 的三种不同数值 (k=+1为封闭空间,k=0、-1为无限空间或开放空间),R(t)的变化情。从图上可以看出,当t=tm时,封闭空间的R(t)达到最大值Rm;当t=2tm时又收缩为致密态。在Λ≤0的各种宇宙模型中,宇宙年龄都比哈勃年龄1/H0小(图2)。在稳恒态宇宙模型中,不存在宇宙年龄。在勒梅特宇宙模型中,宇宙年龄可大于哈勃年龄1/H0。