[拼音]:gaoneng lizi tance
[外文]:detection of high-energy particles
通过实验手段对高能量基本粒子进行的探测。从20世纪50年代开始,由于高能加速器技术的发展,被加速粒子的能量越来越高,因此,在不同的时期,“高能”的定义是不同的。在60年代,几吉电子伏就认为是属于高能范围。到了80年代,几十吉电子伏以上才够得上称为高能。为了着重叙述高能粒子的探测方法,这里把几吉电子伏能量的粒子认为是高能粒子。
在所有的高能粒子中,除了电子e和质子p可以用加速器加速的办法达到高能量以外,其他的高能粒子,如带电的π±介子、K±介子、反质子圴、Σ±超子、μ±子(也包括e和p)和不带电的(即中性的)中子n、Ko介子、Λo超子、γ光子、J/ψ粒子、μ子中微子vμ、电子中微子ve等等,都只能在粒子的相互作用中产生。对于高能粒子相互作用,一般可表示成以下形式:A+B→C+D+E+F+…,A为入射的高能粒子,B为静止的靶粒子(在AB对撞的情况下,A和B在质心系都为高能粒子),C、D、E、F等为A和B作用后产生的次级粒子。高能粒子探测的基本内容就是:记录次级粒子数目,确定次级粒子本身的性质(质量、电荷、寿命)以及确定次级粒子的运动量(能量、动量、飞行方向)。
探测高能粒子的基本原理是依据带电粒子与物质原子的电离或激发作用,不同粒子有不同电离(和激发)强度与动量的关系曲线。现代的绝大多数探测器都是根据这个原理制成。带电粒子可以直接被探测器(如核乳胶、气泡室、流光室、多丝正比室;漂移室等)探测到,因此可直接测定其性质。而中性粒子不能使物质原子产生电离(或激发),因此必须通过间接方式来确定其性质,如通过探测其衰变的带电粒子或探测与物质作用产生的带电粒子。在某些情况下,还可利用高能带电粒子的切伦科夫辐射效应、穿越辐射效应等作为探测原理。此外,由于各种粒子本身的性质不同(如强子、光子和轻子等),在探测方法上也有很大的差别。
需要确定哪些次级粒子性质取决于实验本身的要求。只要求测定一个次级粒子的性质的实验叫做单举实验;要求测定全部次级粒子的性质的实验叫做遍举实验。不管哪种实验,对于要测定的具体次级粒子,一般都要求探测出它是什么粒子(亦即确定其质量和电荷,有时还要求确定其寿命),它的动量以及它的飞行方向,对于每个相互作用,通常还要求确定由作用产生的总的次级粒子数目。
粒子质量的测定
确定一个粒子是什么粒子,最主要的是要精确测定其静止质量。由于不同的粒子具有不同的固有质量,知道了质量就等于确定了粒子。因此确定粒子质量是鉴别粒子的最重要的手段。粒子的质量常常不能利用一种方法直接测定,一般都需要测定二个物理量,例如动量、动能、速度(或洛伦兹因数)等中的两个,然后再经过推算确定其质量。
高能粒子的速度接近光速,因此粒子的质量m、动量p、动能T、速度β及洛伦兹因数γ之间的关系必须采用A.爱因斯坦的相对论性公式:
由于p、T、pβ、β、βγ、γ等都是直接可测量的量,所以测定了其中的两个量(其中之一必须含m的),就能确定质量m。选择测哪两个量最好,要看具体的实验情况,它取决于所用的探测器,出于简便和精确的原因,常测的一个量是动量。
动量的测定测定带电粒子动量的主要方法是利用外加磁场。由于在一定的均匀磁场强度H下,动量p正比于粒子轨迹的曲率半径R 在与磁场垂直平面上的投影R/cosα(α为粒子相对该平面的仰角),因此根据已知H,用探测器测定R及α,就可确定粒子的动量。其关系是:
,p、H、R的单位分别是MeV/c、Gs、m 。对次级粒子来说,无论从确定粒子质量,还是物理分析的需要,测定动量是极为重要的。
(1)带电粒子在物质中与原子进行库仑散射,将使原子激发或电离,为此,粒子要消耗能量。经过dx间距所损失的能量为-dE。实验表明,粒子在单位距离内的能量损失
是与该粒子的动能T有确定的关系,因此,用实验方法测定
值或者是n值
,ω为产生一个离子对的平均能量,n为单位长度内产生的离子对数
,就可以得到T 值。对于不同的带电粒子(如e、π、p),
的关系是不同的,但由于不同粒子的
的关系曲线存在重叠区,这种方法只在一定范围内适用。
(2)如探测器物质足够厚或足够密,使得带电粒子能在其中损失掉全部动能而停下来,则根据粒子的射程可确定动能T,因为射程与动能T及质量m有关。T大,m小,射程就越长。对于相同的T、m,物质不同,射程也不同,因此射程也是一个测量量。但对高能粒子来说,使粒子停下来是困难的,故这类测量大多用于粒子能量不太高的情况。不同物质中,各种粒子的射程-能量关系通常有表可查(射程测量对电子是不适用的,因相同T的电子,射程涨落太大)。
(3)用全吸收效应测量总动能。对能量较高的粒子,常可用很大、很厚、很密的物质(如大碘化钠晶体,锗酸钡晶体,铅、火花室交替,铅玻璃闪烁体等)作为媒质的探测器,使粒子在其中发生作用而产生次级粒子,次级粒子再发生作用,使再产生次级粒子,如此重复地进行,最后使全部次级粒子停止在探测器中,由于被探测的粒子在媒质中损失的总能是与该粒子的动能成正比,因此根据测得的总能,可确定入射粒子的T。这种方法可测定较高能量粒子的总能,用得比较广泛。根据这种原理制成的探测器叫做粒子量能器。
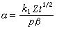
pβ的测定在一定的条件下,利用粒子在物质中的多次库仑散射可确定pβ=γβ2m值。多次散射的大小是以粒子多次偏转的平均角度峞(峞为粒子径迹水平投影角α绝对值的平均值)来度量的,它与物质元素的核电荷数Z、通过物质的厚度t及粒子的pβ值有以下关系:
,式中k1为散射常数,对确定的物质是已知的,而物质元素的Z及t也是已知的,因此根据测量值α,就可得到pβ值。这种测量一般只能在密物质(例如核乳胶、氙气泡室等) 中进行,在轻物质中不能作这种测量,所以应用并不广泛。
(1)利用切伦科夫辐射效应:cosθ=
。β为入射粒子速度,n为透明媒质的折射率,θ为切伦科夫光的发射角。所以测定θ,已知n,就可求出β。这种测量也有一定范围。当β很接近于1时,就很难精确测定β了。
(2)飞行时间法。使粒子分别通过探测器A和B,如果知道AB之间距离为l及经过的时间间隔为Δt,则可直接求出β=l/Δt,此法就是利用测定粒子飞行时间Δt(已知l)的方法来求得β。
βγ的测定粒子通过探测器时,根据记录到的单位距离内的离子对数 (如云室中的水珠数、泡室中的气泡数、流光室中的流光数等等,亦称电离程度)N可以求得βγ值。N和βγ有以下关系:
,A和k在一定条件下为常数。通常的做法是事先作出I/Io(即N/No)与βγ的关系曲线,然后根据I/Io的测量值求得βγ值。I(或N)为粒子的电离度,Io(或No)为该粒子的最小电离度。
当粒子能量很高时,β≈1,而洛伦兹因数γ却与能量成正比,能量越高,γ就越大。因此,对于很高能量的粒子,γ是一个理想的测量量。测定γ,可以利用粒子穿过多层物质时的穿越辐射效应,实验表明,由粒子产生的穿越辐射(X 射线区)的光子数是与粒子的γ值成正比,因此测定穿越辐射的光子数就可得到γ值。这种方法一般只能用于探测单个粒子,而且精度并不太高。
粒子电荷的探测
整数电荷由于迄今为止所观察到的高能粒子都是单电荷(电荷量等于电子或质子的电荷量)或中性的,所以确定粒子的带电性,实验上就是简单地确定电荷符号是正的、负的或是中性的,确定正、负带电粒子的唯一方法就是利用外加磁场,而观察粒子径迹在磁场中的偏转方向。以电子径迹的偏转方向作为带负电粒子的偏转方向。相反的偏转方向就为带正电粒子。实验上通常都是把测量动量和确定正、负电荷结合在一起。对于中性粒子,由于探测器对它不灵敏,因此只能根据次级作用产生的带电粒子来推断它的存在,并且确定它是中性的。
分数电荷根据量子色动力学理论的预言,组成强子的夸克,其所带的电荷并不是质子电荷e的整数倍,而是分数电荷,如
等。在探测分数电荷粒子的情况下,除了需要知道其正、负号以外,更重要的是确定其电荷的绝对值。这就需要利用专门的实验,一般有以下几种方法:
(1)测量电离法(用于云室和气泡室)。由于电离度I与电荷数Z的二次方成正比,故在相同速度下,分数电荷粒子的电离度要比单位电荷粒子的电离度小二次方倍。如单位电荷粒子的最小电离度为Io,则
粒子的最小电离度为
,
粒子的最小电离度为
。
(2)低脉冲信号法(用于闪烁计数器)。原理是利用
。对分数电荷粒子,其输出信号要比单位电荷粒子信号小二次方倍。
(3)铌球法。用处于超导状态的小铌球悬浮在两个金属板之间的磁场中,外加交变电场使铌球受迫振动,测量其振幅的变化速率,就能测定其绝对电荷。方法类似于确定电子电荷绝对值的油滴法。作为带电荷小球,也可以选用其他元素,如汞等。
粒子寿命的探测
衰变是个统计过程,对于高能相互作用产生的次级粒子,通常并不(需要)测定每个粒子的寿命,而是多粒子的统计平均寿命,粒子寿命的测定是取决于具体的实验要求、精确测定不稳定粒子的寿命,需要设计专门的实验。一般的实验,在允许的情况下,也可以附带测知粒子的寿命,但探测粒子的种类是极有限的。
对高能粒子来说,如μ子(平均寿命为10-6s)、π±介子(平均寿命为10-8s)等,绝大部分是不会在探测器中衰变的,例如 1GeV/c 的μ子平均可飞行4600m,同样能量的π±介子平均可飞行55m,通常只有10-10s量级的粒子(如Ξ、Ω、Σ、Λ、K恜等)才能在探测器中同时看到产生点和衰变点,因此可以直接测定其寿命,对于寿命更短的粒子,例如πo介子(寿命为10-16s)以及共振态等,在探测器中所观察到的产生点和衰变点是重合在一起的,因此也不能根据其飞行距离来测定寿命。共振态粒子的寿命常在10-22~10-23s范围,估计它们寿命的唯一方法是根据它们的质量分布宽度。分布越宽,寿命越短。
空间飞行方向的探测
次级粒子相对于入射粒子的飞行方向是实验上必须精确知道的一个重要量。它由出射角θ及方位角φ表征,对于要精确测定次级粒子空间位置的实验,必须利用径迹室或空间分辨较高的粒子探测器。一般确定空间飞行方向的方法是先测量次级粒子径迹上某些点的空间坐标(xi,yi,zi),然后通过数学计算得到粒子飞行方向的几何量θ和φ。