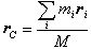
质心 [拼音]:zhixin [外文]:centre of mass 质量中心的简称。质点系的质心是质点系质量分布的平均位置。设质点系由n个质点组成,它们的质量分别是m1,m2,…,mn。若用r1,r2,…,rn分别表示质点系中各质点相对于某一固定点O的矢径,用rC表示质心的矢径,则有 , 式中 表示质点系的总质量。若选择不同的坐标系,质心坐标的具体数值就会不同,但质心相对于质点系中各质点的相对位置与坐标系的选择无关。质点系的质心仅与各质点的质量大小和分布的相对位置有关。 阅读全文