[拼音]:chuipencaogan
[外文]:sarmentosin
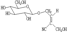
一种氰苷化合物,分子式 C11H17NO7。它存在于景天科垂盆草中。垂盆草苷为无色透明胶状物;味苦;比旋光度[α]庘-17.4°(0.6克/100毫升水),100℃以上受热分解;极易溶于水,用各种有机溶剂未能结晶。
垂盆草苷对α-萘酚试剂呈阳性反应,不能还原费林溶液,用酸水解后则具有还原性;用苦杏仁酶水解,可得β-D-葡萄糖。垂盆草苷五乙酰衍生物为针状晶体;熔点 79~80℃,比旋光度[α]岻0°(1.0克/100毫升氯仿)。
垂盆草苷在稀苛性碱液中和室温下放置,即能定量地转变成异垂盆草苷,并失去其原有的生理活性。
垂盆草为多年生草本植物,在中国分布甚广,全草入药,民间用来治疗肝炎,临床实验证明,它的水煎液确对降低血清谷丙转氨酶有较好效果,临床有效剂量为每日100毫克。