[拼音]:changweifen fangcheng shedong fangfa
[外文]:perturbation method in ordinary differential equation
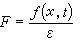
一般的微分方程,常常不能求得精确解析解,需要借助于求近似解或数值解,或两者兼而有之。摄动方法是重要的近似方法。它的思想,在于设想有可能借助于选定的并且具有精确解的微分方程组,用来逐次近似地描述所研究的微分方程。常见的是含有小参数ε的微分方程。 例如凧=F(x,t,ε),其中
ε是小参数。 所谓摄动方法,就是根据方程凧=F(x0,t,0)的已知解,求得原式当ε 取小值时的近似解的方法。一般假定F(x,t,ε)于ε=0时有意义,并且对ε是解析的,这是正则摄动问题。如果F(x,t,ε)于ε=0时出现奇性(包括
的情形),则为奇异摄动问题。或者广义地说,若摄动问题Pε的解uε(x)能用ε的渐近幂级数表示,即:
并且这一渐近幂级数在所讨论的区域内一致有效成立,则称Pε是正则摄动问题,否则称为奇异摄动问题,其中u0(x)是ε=0时非摄动问题(或称退化问题)的解。对正则摄动问题,可利用方程和定解条件逐次确定系数ui(x)(i>0),而对奇异摄动问题,则不然。
关于正则摄动问题有下面几种常用的方法。
(1)林斯泰特-庞加莱方法 它原用于天体力学。例如对方程:
设
其中
当 A,α是常数时,它是
的解。若直接以x的式子代入方程,并使ε的各次幂的系数分别为零,以求(x)i(t),便会得到形如tmsin(nω 0t)及tmcos(nω 0t)的项,即所谓长期项(也称永年项),长期项的出现大大妨碍了级数于t→
时的收敛。为了避免长期项的出现,A.林斯泰特首先提出,后由H.庞加莱补充完善,得到所谓林斯泰特-庞加莱方法(简称LP方法)。其技巧在于选用x0=Asin(ωt+α),将频率ω 展开成
对自变量t作线性变换τ=ωt,并在新自变量τ下展开 x(t),
+
代入方程以确定xi(t),与此同时, 为可选取参数 ω1,ω2,…,消除长期项。但这个方法对于消除一些问题中高阶近似的强奇性是无效的。1949年,M.J.莱特希尔作了重要推广,引进了自变量的非线性变换,求得了一系列物理问题的一致有效渐近解。
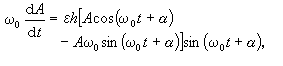
(2)克雷洛夫-博戈柳博夫方法 在方程
中,如令ε=0,则得
其通解为x=Acos(ω0t+α),A,α 为常数。当│ε│很小且不为零时,设A、α为t的函数,并令
则有
代入原方程连同所令关系式可解出
由于这两个式子右边都是以ε 为因子的项和t 的周期函数,故A、α是t的慢变量。因此可取它们对周期
的平均值,经过整理和变量变换 (u=ω0t+α),可得到确定A、α的两个近似方程
由此,可求得A、α为t 的函数。由于取了函数的平均值,此法又称平均法。
一般情况,方程化成凧 =εΧ(x,凧,t),如果Χ对t是周期为T 的函数,可取
或存在
则在某些条件下,近似方程是
解之即得近似解。
(3)调和均衡法 这是将
的εh(x,凧)调和线性化,即若εh(x,凧)=mx+n凧+…,取前两项把原式化成
其中
亦即,当
而A、α、ω0都是常数的情况下,
h是t的周期函数。
关于奇异摄动问题,不能直接用非摄动问题(ε=0) 的解在所讨论的区域内得到一致有效的渐近解,即正则摄动方法对奇异摄动问题是无效的。常微分方程奇异摄动问题主要是大参数问题。下面列举两种类型问题。
第一类,场函数和它的各阶导数不是同量级量的问题。这时小参数ε(ε>0)含于微分方程的高阶导数项,当ε=0时,方程降阶,定解条件过剩,为了使退化问题可解,必须丢掉一部分定解条件。在丢掉定解条件的那一部分边界附近(物理上称为边界层区域),摄动问题的解变化很快,当 ε→0 时其解不能一致收敛于退化问题的解。例如,考虑初值问题 Lεuε=εu┡+u=1,u(0)=0,或
其精确解为
当ε→0时其极限函数ū(x)为
在点x=0,uε(0)=0,而u夊(0)=1/ε。如用正则摄动法求其渐近解堚ε(x)=u0(x)+εu1(x)+…,则堚ε(x)=1。显然是错误的。
第二类,在微分方程的系数中具有转向点的奇点问题。例如, 方程u″+λ2(1-x2)u=0,其中λ是大参数(或写成
,这里,ε是小参数)。此时方程的解当│x│<1时表现为振荡型的,当│x│>1时表现为指数型的(发散的或衰减的)。 x=±1称为转向点。在转向点附近解急剧变化,用正则摄动法求得的渐近解将在转向点产生奇性,非一致有效。
处理上述问题的方法称为奇异摄动方法。自1935年以来它有了很大发展,成为应用数学中的一个重要领域。对于第一类边界层型奇异摄动问题有匹配法,边界层校正法(又称合成展开法)和多重尺度法。对于转向点问题有由G.文策尔、H.A.克拉默斯和L.N.布里尤安于1926年各自独立地提出的方法,后来称之为WKB方法,和先后由R.E.兰格(1931、1934)和F.W.J.奥尔弗(1954)发展起来的LO方法以及B.∏.马斯洛夫提出来的方法(1965)。
近十多年来,研究奇异摄动问题的数值方法也有了发展,根据奇异摄动问题的特点构造特殊的数值方法(有限差分方法和有限元方法) ,以便取得良好的数值结果。
中国力学工作者在对摄动方法的发展有开创性贡献。钱伟长在1948年解圆板大挠度问题时,即提出现在称为合成展开法的方法,郭永怀在1953年把由庞加莱和莱特希尔发展起来的方法推广应用于边界层效应的粘性流问题;钱学森1956年又深入阐述了这个方法的重要性,并称之为PLK方法。
- 参考书目
- A. H. Nayfeh,Perturbation Methods, John Wiley & Sons,New York, 1973.
- R.E.O'Malley,Introduction to Singular Perturbations,Academic Press, New York, 1974.
- Tsien Hsue-Shen,The Poincare-Lighthill-Kuo Method,Advan. Appl. Meth.,4, pp. 281~349,1956.