[拼音]:Kupumansi dingli
[外文]:Koopmans theorem
采用轨道近似,使用单斯莱特行列式形式的电子波函数(见自洽场分子轨道法)则单电子的分子轨道满足哈特里-福克方程:
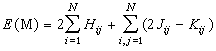
式中 Ei为对应于分子轨道Ψi的分子轨道能量。1933年,T.A.库普曼斯证明Ei具有一定的真实的物理意义。考虑一个有2N个电子的闭壳层分子,其电子总能量为:
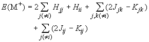
式中Jij为双电子库仑相互作用矩阵元;Kij为双电子交换作用矩阵元;Hij为单电子哈密顿算符的矩阵元,若从分子M中电离出一个电子,转变成离子M+,假设此时M+的电子状态仍然可以用与 M相同的分子轨道的单斯莱特行列式描写,只是在某一个分子轨道Ψi上少了一个电子,这种假定称为冻结假定,此时离子M+的电子总能量E(M+)的表达式为
由分子M电离到离子M+过程的电离能为:
Ii=E(M+)-E(M)
库普曼斯证明了在冻结假设下Ii近似地等于电离的相应分子轨道Ψi的能量Ei的负值:
Ii=-Ei
这就是库普曼定理。它把分子轨道理论与光电子能谱紧密地联系起来,成为检验理论和谱图分析的重要依据。