[拼音]:ziqianchang fenzi guidaofa
[外文]:self-consistent field molecular orbital method
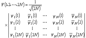
利用自洽迭代过程处理分子轨道的方法。分子轨道法认为在分子中存在着一系列单电子空间波函数,称为分子轨道,每一个分子轨道都有确定的能量与之对应,而整个分子的波函数,可以近似地用分子轨道的乘积来描述。按照泡利原理,总波函数必须是反对称的,即交换任何两个电子的坐标后,波函数将只改变一个符号,斯莱特行列式波函数满足这个要求。例如,对于一个有2N个电子的闭壳层分子,有一系列正交归一化的分子轨道ψ1、ψ2、…、ψN,按能量从低到高排列,考虑到电子可以有两种自旋状态,α或β,则对应一个分子轨道ψi有两个自旋空间轨道ψiα和ψiβ,在以下的行列式中简写作ψi和徰i,对于分子的基态,斯莱特行列式波函数形式为:
(1)
这种表达方式称为“轨道近似”。总波函数ψ 满足分子中电子运动的薛定谔方程:
(2)
(3)
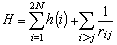
式中H为分子中电子的总哈密顿算符;h(i)为第i个电子的哈密顿算符,它包含单电子的动能和这个电子与所有原子核间的相互吸引能。把式(1)代入式(2),可以得到分子基态的电子总能量E的表达式:
(4)
(5)
式中r12为电子1和电子2间的距离;Jij和Kij分别为库仑积分和交换积分。在分子处于基态时,E应为最小值,如何选择一组正交归一化的分子轨道ψ1,ψ2,…,ψN使E成为最小,可以用变分法来达到。变分结果要求分子轨道满足的方程为:
(6)
这个方程称为哈特里-福克方程,是B.A.福克在1930年导出的,F(1)称为哈特里-福克算符:
(7)
式中库仑算符Jj(1)和交换算符Kj(1)的定义为:
哈特里-福克方程虽然表面上具有通常本征值问题的形式,但却不能用通常的方法求解,这是因为算符F(1)本身还包含着ψ1、ψ2、…、ψN,需要用迭代法求解。先给定一组初始的ψi(1),代入式(7)得到F(1),然后求解式(6)可得新的一组ψi(2);再用ψi(2)重复上面的过程,如此循环,直至最后两次的结果符合到所规定的要求为止。这个过程称为自洽迭代的过程,这种分子轨道的处理方法称为自洽场分子轨道法。如果把分子轨道写成原子轨道线性组合的形式,则组合系数满足罗特汉方程。这种自洽场分子轨道法在量子化学研究中广为应用,是很重要的理论方法。