[拼音]:duicelun
[外文]:game theory
又称博弈论,研究由一些带有相互竞争性质的个体所构成的体系的理论。一场竞争按竞争规则从开始到结束称为局。参加竞争的个体称为局中人,可以是某一个人,一个临时的联合体,一个队,一个公司,一个政治团体,一个国家,等等。若一局对策中有 n个局中人,则称此局为 n人对策。局中的一次动作(着),是指在某一时刻要求某一局中人作出一个决定。在一局对策中,每个局中人可能有许多供选用的方案来指挥他的动作。局中人据以选取他的方案的规则称之为一个策略。若一种规则可以决定局中人选取何种方案,而不是决定局中人以多大的概率选取何种方案,则称此种规则为纯策略;而把按某种概率来选取方案的规则称为混合策略。若局中人甲有m个可供选用的纯策略:α1,α2,…,αm,则混合策略以概率向量
记之,其中xi是选用纯策略αi的概率,且
。n个局中人对局终了时各有所得(可以为正,也可以为零或负),以pi表示局中人i的所得,称为支付,则对局的结果可用数字向量(p1,p2,…,pn)表出。
一个对策的正规形式是将所给的对策化为与之等价的如下的对策:当局中人在明白了对策的规则之后,各自在相互不知道的情况下选取一个纯策略,然后将他所选的策略告诉一个毫无偏私的公正人。利用已经知道的规则,对局结果即告确定。
对策论中常用的另一种形式是展开形式,即依所给对策的特殊结构,按逻辑次序将所给对策写成一个树状图,每一个结点表示一次动作(步),从该点发出的树枝表示在该次动作可供选取的方案,这种选择可以是局中人自己决定的,也可以是依赖于某种随机规律进行的。没有树枝发出的结点为一终端,可以根据对局规则在各终端、各树枝将相应的已知信息写出,并在各终端注上各局中人的所得。显然,有了展开形式就可写出正规形式。例如,设甲、乙二人斗牌,共十二张牌,红七绿五。每人先下赌注1份,然后发牌,先发甲一张,甲看后,可以放弃,也可以增加赌注3份再斗。若甲放弃,则对局结束,此时若甲持红牌则赢1份;若持绿牌则输1份。倘若甲要斗,则乙须考虑是相拼,还是认输。若乙认输,则甲赢1份;若乙相拼,则亮牌:甲为红牌时甲赢4份;甲为绿牌时乙赢 4份。以上过程可写成展开式如下图。
显然,甲可能采取的策略有四:不管持牌是红是绿皆斗(记为α1);拿红牌时才斗(记为α2);拿绿牌时才斗(记为α3);不管是红是绿皆放弃(记为α4)。乙的策略则为:相拼(记为β1)和认输(记为β2)。于是,相应于展开式可得出正规形式:
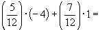
容易算出此矩阵,例如对于(α3,β1),甲拿到绿牌的概率为5/12,此时乙要相拼;甲拿到红牌的概率为7/12, 此时甲放弃,甲的期望所得为和数
,此即表示甲、乙在互不知道的情况下,若甲选取的策略是α3(拿绿牌时才斗),乙则选取β1(相拼),其结果是甲的期望所得为-13/12。
它是对策论中最简单而结果最为完整的部分。此时n=2,p1+p2=0,即甲的所得(失)是乙的所失(得)。设甲可供选用的策略共有 m种:α1,α2,…,αm;乙有n种:β1,β2,…,βn。当甲采用αi乙采用βi时,甲的所得为αij(乙的所得为-αij),则此对策可用矩阵
表示,并记为A=αij,因此又称为矩阵对策。
一局对策的解,是指求出“明智的”局中人所采用的最优策略以及在此策略下的所得。若甲是"明智的",则会认为当他采取策略αi时乙必采取使
的策略
,因而当甲在考虑策略时所选取的i0,应使
。同理,当乙考虑策略时所选取的j0,应使
。容易证明,
,
若等号成立,则称此局对策有一鞍点,或有一纯策略解,但并不是每局对策皆有纯策略解。例如关于对策
,上式的等号不成立。
若甲与乙分别采取策略x与у,则其所得分别定义为
与
,其中xi、yj是x与у的分量。设x(Y)为所有概率向量x(у)组成的集,亦即甲(乙)的全部策略。若存在x
∈(X,y
∈Y,使得
对所有x∈X,у∈Y皆成立,则称(x
,у
)为此局对策的一个鞍点。这里xT表示向量x的转置。对于混合策略来说,鞍点总是存在的,因由极小极大定理,对于任一矩阵对策A,总有
。
若(x
,у
)是矩阵对策A关于混合策略的一个鞍点,则定义x
(у
)是甲(乙)的最优策略。x
和у
可以利用线性规划来寻求。
它的定义是:设n=2,且p1+p2≠0,意即甲的所得(失),并不一定就是乙的所失(得)。它与零和对策的主要差别是:对甲是好的策略,对乙不一定就是坏的。因此两个局中人不一定全是对抗的,他们可以暴露自己的策略,使双方同时受益。对于非零和对策,有两种情况必须分开处理:非合作对策与合作对策。前者是指不许事先互通信息,不许结盟,不许搞联合对策等;后者则不受此限制。
若局中人甲的所得可表示为A=(αij),乙的所得可表示为B=(bij),A、B皆为m×n矩阵,则此种对策称为双矩阵对策。
非合作对策的基本理论是在纳什平衡点概念的基础上建立起来的。设存在甲的一个混合策略x
和乙的一个混合策略у
,使得对于所有混合策略x、у皆有
则(x
,у
)称为此对策的一个平衡点。可以证明,任何双矩阵非合作对策皆有平衡点。平衡点不一定是惟一的,也不一定是使双方的所得是最好的,例如取
,
容易证明{(0,1),(0,1)}是一个平衡点,它对应的所得为(1,1),但它显然不如{(1,0),(1,0)}对应的所得(α11,b11)=(2,2)来得好,而{(1,0),(1,0)}并不是平衡点。此时,甲、乙两者的所得较多。因此,二人非零和对策的解必须再考虑别的因素。若两向量x与x┡满足关系xi≥x媴(i=1,2,…,n),则称x控制x┡。若对二人非零和对策,存在一平衡点所对应的所得控制所有其他的平衡点对应的所得,则定义该平衡点为此对策的解,但这种点并不总是存在的。
n人对策对于非合作对策来说,n人对策与二人对策在处理方法上没有本质的差别,但对于合作对策来说,其差异则很大。这主要是由于通过合作可以组成若干集团,而其重点则在于结合的方式。
特征函数是用来研究合作对策的基本概念之一。它是一个实值集函数v(S),这里S为N={1,2,…, n}的一子集。v(S)应满足下列条件:
(1)v(═)=0,═表示空集。
(2)v(S∪T)≥v(S)+v(T),对于所有满足S∩T=═的N的子集S与T皆成立。N中的元素表示局中人,N的子集表示集团。条件②保证合作比不合作优越。合作对策的另一个基本概念是分配。所谓分配,是指具有下述性质的向量
,
:对于所有的i∈N,xi≥v({i});
,即必须保证每一入伙的人,通过加入集团所得不低于单干所得。设x与у是两个分配,若对于任一S嶅N有
,且xi>yi,对所有的i∈S成立,则称x控制了у。
关于合作对策的解,直到现在还没有一个完全令人满意的定义。常见的定义有冯·诺伊曼-莫根施特恩解与沙普利解。前者是指由一些分配所成之集 P满足条件:
(1) P中任何两个分配之间不存在控制关系。 ② 对任何Z唘P必存在x∈P控制了Z。此种P不一定存在。后者基于从 N 的子集到n维空间(所得)的一个映像
=
它满足:
(1)对称性,即
这里
为{1,2,…,n}的一个排列,π-1S为S关于变换π的逆;
(2)有效性,即η(v+w)=η(v)+η(w);
(3)
;这里v与w皆为所给对策的特征函数。可以证明,只有一个值满足这三个性质,即
,
这里n是S中局中人的个数,
表示只就N中所有不包含i的子集S求和。此外,作为解的还有核心、核、核仁等。
由于与合作对策有关的不少问题尚未解决,在目前的对策论研究中,合作对策居于重要位置,研究合作对策的解的定义仍是深受注意的课题。
微分对策对策这一概念有许多推广,微分对策是其中之一,而且出现较早,发展也较成熟。前面所述的对策是局中人每走一步要作一次决定的离散情况。微分对策是局中人在每一时刻 t皆要作出一个决定的连续情况,例如,追逃问题。追赶的和逃跑的每时每刻皆要作出某种选择。设在时刻t,对局的状态变量(例如位置、方向、速度等)为
。设在此时,局中人甲选取的策略(方向、速度等)为
,于此,φi为t 的函数,一般可设
是常数;局中人乙选取了
, 亦满足类似关系。φ和Ψ称为控制变量(策略),它们按照微分方程组
,
控制状态变量的运动。当状态变量到达某一给定的闭集b时,对局即告结束。作为对策的支付,可以有几种不同的形式。常用的有两种:一为局终支付;一为积分支付。若对局是从t=0时开始,t=T时终止,此时状态变量的值为y1,y2,…,yn,则局中支付为一定义在b上的函数g(y1,y2,…,yn),而积分支付则为
,K为某一给定的函数。通过某种方程 (主要方程)寻求最优的φ 和ψ,是微分对策的基本课题之一。
对策论这一概念的引入虽然可上溯到20世纪20年代,但是给以系统的研究,是由J.冯·诺伊曼和O.莫根施特恩开始的。他们合著的《竞赛论与经济行为》一书是一本奠基性的著作,书中主要考虑经济方面的应用,认为经济斗争是最容易数量化的。在第二次世界大战中及其稍后,对策论曾被用来考虑军事问题,希望用数学方法来处理策略这一概念。以后,对策论被应用于经济问题以及一些社会科学中的问题,例如心理学(研究交易与协商的作用和性质)、政治学(各政治力量之间的联合作用)。近年来,数理经济学、特别是关于竞争平衡性问题、经济的增长问题、资本的积累问题,等等,在其发展中受到对策论的很大影响。
- 参考书目
- J.冯·诺伊曼、O.莫根斯特恩著,王建华、顾玮琳译:《竞赛论与经济行为》, 科学出版社,北京,1963。(J.von Neumannand O.Morgenstern,Theory of Games and Economic Behavior, Princeton Univ.Press, Princeton, 1953.)
- J.C.C.麦克金赛著,高鸿勋等译:《博弈论导引》,人民教育出版社,北京, 1960。(J.C.C.Mckinsey,Introduction to the Theory of Games, McGraw-Hill,New York, 1952.)
- R. D. Luce and H. Raiffe,Games and Decisions,John Wiley & Sons, New York, 1957.
- R.Isaacs,Differential Games, John Wiley & Sons,1965.
- 中国科学院数学研究所二室编:《对策论(博弈论)讲义》,人民教育出版社,北京,1960。