[拼音]:feihezuo duice
[外文]:noncooperative games
对策论中局中人在选择各自策略时不结成任何联盟的对策问题。非合作对策按局中人数可分为二人对策和多人对策,按局中人的支付(或得失)之和可分为零和对策和非零和对策。
二人零和对策对策论中理论最简单又最完善的部分是二人零和对策,它是其他各部分理论的基础。许多游戏都可看作是二人零和对策的例子。在一个二人对策问题中(例如两人进行对抗性竞赛),参加者分别为局中人甲和乙,他们各自有自己的策略,即在对抗竞赛中所采取的行动方案。设甲有m个策略,乙有п个策略。当甲选取第i个策略而乙选取第j个策略时便形成一种局势。此时甲、乙双方会有赢得或损失。甲、乙双方得失之和为零,即一方所得等于另一方所失。若甲所得为ɑij=f(i,j)(i=1,…,m;j=1,…,п),乙所得为-ɑij,则ɑij为甲取第i个策略、乙取第j个策略时甲的支付(或赢得)。甲的支付可列成如下的矩阵表:
并可用矩阵方法进行处理。因此这类对策也称为二人零和矩阵对策。对策论的基本问题是局中人采取何种策略才能使自己赢得最多(或损失最少)。
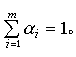
局中人甲也可以概率α1选取第一个策略,…,以概率 αi选取第i个策略,…,最后以概率αm选取第m个策略。这样得到一个概率向量α=(α1,…,αi,…,αm),其中αi≥0,i=1,…,m,
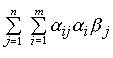
α称为甲的一个混合策略,而原来的 m种策略称为甲的纯策略。同样可引进局中人乙的混合策略β=(β1,…,βj,…,βn)。若用X1、X2分别代表甲、乙的混合策略全体的集,并分别称X1,X2为甲、乙的策略空间(以下在不产生误解的情况下称混合策略为策略)。当甲取策略α而乙取策略β时,甲的期望支付(赢得)是
,记作K1(α,β),并称为甲的支付函数。显然乙的支付函数为-K1(α,β),其中α∈X1,β∈X2。
对二人零和对策,若有策略对(╋,娕)便形成一种局势。若对甲的一切策略α ∈X1,总有K1(╋,娕)≥K1(α,娕),则╋称为甲的一个优策略。同样,若对乙的一切策略β∈X2,也总有-K1(╋,娕)≥-K1(╋,β)或K1(╋,娕)≥或K1(╋,β),则娕称为乙的优策略,而(╋,娕)称为对策的优策略对,或称为鞍点,这是二人零和对策的解。显然在鞍点(╋,娕)对一切α∈X1,β∈X2,均满足
K1(α ,娕)≤K1(╋,娕)≤K1(╋,β)
此式称为诺伊曼鞍点定理或最小最大定理,它等价于方程
多人非合作对策
与二人零和对策理论相似,多人非合作对策中讨论最多的是正规型的。若把几个参与者顺次记为局中人1,2,…,n,并设局中人i的策略全体的集为xi(i=1,…,n),则称xi为局中人i的策略空间。当每个局中人各自选择一个策略xi∈xi(i=1,…,n),便形成一种局势(x1,…,xn)。此时局中人i的支付可用函数Ki(x1,…,xn)表示。它是定义在乘积空间
上的实值函数、若
(常数),则称此对策为常和对策;特别当c=0时,称此 n人对策为 n人零和对策,若n=2,即为上述的二人零和对策。在非合作对策中,局中人在选择各自策略时,根据对策的规则,不应结成任何联盟;否则,就会变成“合作对策”。对一个非合作的多人对策,若有策略组(憫1,…,憫n),对局中人i的一切策略xi∈Xi,总有Ki(憫1,…,憫i-1,憫i,憫i+1,…,憫n)≥Ki(憫1,…,憫i-1,憫i,憫i+1,…,憫n)则憫i对局中人i来说是宜取策略。若对i=1,…,n,均有宜取策略憫i,则称(憫1,…,憫i,…,憫n)为多人非合作对策的一个平衡点。J.纳什证明,在一定条件下有平衡点存在。n=2时,平衡点就是二人零和对策中的鞍点。多人非合作对策平衡点的计算尚无有效的方法。