浏览

公式 符号  分子中含有脒基的一类化合物,通式如左。其中R可以是烃基,也可是其他基团,例如R是甲基的叫乙脒,R是苯基的叫苯甲脒,R是霉菌素的叫脒基霉菌素。胍也可叫做氨基甲脒或氨基脒,有些含胍基的化合物也可以脒基命名,如:

公式 符号 公式 符号

脒的碱性略次于胍,遇酸易成盐,水解时生成羧酸

公式 符号

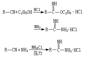
脒主要由腈与氨反应制得,可将腈溶于无水乙醇中通入氯化氢,然后与氨反应,也可在加压条件下直接由腈合成:

公式 符号

一级胺和二级胺可代替氨用于上述反应,制得相应的取代脒,例如:

公式 符号

脒可作为合成中间体用于含氮杂环化合物的合成。许多脒化合物可作为药物使用。低级的脒常具有刺激性,脒的毒性一般大于胍和脲。

参考文章