[拼音]:ningmengquan
[外文]:citral
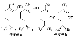
一种萜,分子式C10H16O。它存在于枫茅油和山苍子油中,为下列四种化合物的混合物,其中主要为柠檬醛a:
柠檬醛 a(又称香叶醛)为带柠檬香气的无色油状液体,在空气中易氧化变黄;密度0.8888克/厘米3(20℃),沸点229℃;可经结晶性亚硫酸氢钠加成物分离或从香叶醇氧化得到。柠檬醛b(又称橙花醛)的沸点120℃(20毫米汞柱),密度0.8869克/厘米3(20℃);可从橙花醇氧化得到。柠檬醛a用氨性氧化银氧化得香叶酸。
工业上制取柠檬醛有三种方法:
(1)从精油中分出;
(2)从工业香叶醇(及橙花醇)用铜催化剂减压气相脱氢得到;
(3)从脱氢芳樟醇在钒催化剂作用下合成,脱氢芳樟醇可从甲基庚烯酮与乙炔合成制得。
柠檬醛可用于制造柑橘香味食品香料,因易氧化并聚合变色,只用于中性介质中;还用于合成异胡薄荷醇、羟基香茅醛及维生素A的原料紫罗兰酮。