核苷酸

浏览

核苷的磷酸酯,即核苷分子中核糖或脱氧核糖的羟基接到磷酸上生成的核苷磷酸酯。核糖核苷酸和脱氧核糖核苷酸分别是核糖核酸RNA和脱氧核糖核酸DNA的单体。

组成

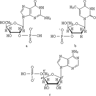
鸟嘌呤核苷的2′-OH被磷酸化,生成2′-鸟嘌呤核苷酸(鸟嘌呤核苷-2′-单磷酸酯)(见结构式 a);胸腺嘧啶核苷的3′-OH被磷酸化,生成3′-胸腺嘧啶核苷酸(胸腺嘧啶核苷-3′-单磷酸酯)(b);腺嘌呤核苷的公式 符号5′-OH被磷酸化,生成5′-腺嘌呤核苷酸(腺嘌呤核苷-5′-单磷酸酯)(c)。常见的五种核苷酸见表。

图 性质

核苷酸为无色晶体或白色粉末;熔点高,加热分解;不溶于有机溶剂;呈强酸性,可生成环己胺盐、马钱子碱盐、铝盐结晶。

合成

可用适当保护的核苷磷酸化,或在活性剂存在下,以适当保护的核糖或脱氧核糖磷酸酯与嘌呤或嘧啶碱缩合而成。

生理功能

嘌呤和嘧啶核苷酸主要是作为核酸的单体,许多核苷酸及其衍生物还具有特殊的生理功能。例如:腺嘌呤核苷-5′-单磷酸酯分子连接二分子磷酸,生成腺嘌呤核苷三磷酸酯(ATP),是生物体内重要的高能化合物,在代谢和能量交换中起关键作用,对垂危病人的抢救,对肝炎、心肌炎、肾炎、脑动脉硬化、进行性肌肉萎缩症等治疗效果显著。

公式 符号

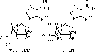
腺嘌呤核苷-3′,5′-环磷酸酯(3′,5′-cAMP),广泛分布在有生命的体系中,是与激素作用密切相关的代谢调节物,能调节蛋白质合成、甾体激素的合成、碳水化合物和脂肪的代谢等生理功能。cAMP对癌细胞在特殊条件下有抑制作用,对肝炎有显著疗效,对冠心病和牛皮癣等有缓解作用。5′-肌苷酸(5′-IMP)是一种助鲜剂,具有肌肉的鲜味,与味精(谷氨酸钠)以不同比例混合,可提高鲜味几十倍至100多倍,能制成各种有特殊风味的强力味精。

公式 符号
参考书目
  1. J. N.达维生著,中国科学院生物物理研究所二室《核酸的生物化学》翻译小组译:《核酸的生物化学》,科学出版社,北京,1983。(J.N.Davidson,The Biochemistry of the Nucleic Acids,8th ed., Academic Press,New York, 1976.)

参考文章