[拼音]:diqiu dianci ganying
[外文]:electromagnetic induction in the Earth
地球内部和外部的变化电磁场在地球内部所产生的电磁感应。在地球表面实测到的变化磁场或电场是源电磁场和感应电磁场的总和。感应电磁场除同源场有关外,还同导体的几何结构(形状、线度)和电磁性质(电导率σ、磁导率μ)有关。地球的磁导率接近于1电磁单位(emu),可视为常数,故感应电磁场仅同地球电性有关。因此,根据地球电磁感应理论可由地球表面磁场和电场的实测资料研究地球内部电导率的分布。应用地球电磁感应理论探测地球内部电导率的方法又分为地磁测深和大地电磁测深两种。前者测量地磁场3个分量,如北向分量Hx,东向分量Hy,垂直分量Hz;后者则测量地磁场分量Hx、Hy和地电场的北向分量Ex、东向分量Ey。
简史1883年,兰姆(H.Lamb)对周期性外源场在均匀导体球中的电磁感应的研究是地球电磁感应理论最早期的工作。1889年,舒斯特(A.Schuster)应用兰姆的结果讨论了电磁日变化的内、外源场的关系。1919年,S.查普曼又将拉姆和舒斯特的结果用于实际地球模型和地磁静日变化的分析,首次获得了地球内部电导率的分布参数。1931年,查普曼和普赖斯 (A.T.Price)又研究了非周期源场问题,并应用磁暴时的变化再次求得地球内部电导率的分布参数,但结果与磁静日变化的结果不同。1939年,拉希里(B.N.Lahiri)和普赖斯进一步修改了上述均匀地球模型,研究了电导率随半径呈幂指数分布的周期和非周期源场的电磁感应理论。直到50年代前,地球电磁感应都以地球整体为研究对象,称为球体问题。1950年,普赖斯研究了平面电磁感应理论。1953年,卡尼亚尔(L.Cagniard)建立了电磁测深理论。卡尼亚尔和普赖斯的工作奠定了利用局部和单个测点的电磁场变化研究地球内部电性结构的理论基础,这是地球电磁感应理论的一个重要发展阶段。但在50年代,地球电磁感应理论仍局限于电导率只随深度变化的一维模型。60年代,执行国际上地幔计划以来,随着观测技术的发展,地磁测深和大地电磁测深的观测和研究取得了丰硕的成果。全球各地发现了许多同局部电磁场异常相联系的地壳和上地幔的电性结构异常,如日本中部异常、德国北部异常、北美西北部异常、苏联贝加尔裂谷带异常等。中国渤海地区和从宁夏到云南的南北地震带已观测到了局部电性结构异常。特别有意义的是这些电性结构异常多同构造活动和地震带相对应。随着近代计算技术的发展,地球电磁感应理论也发展到更高阶段,主要表现在源场效应的研究和二维、三维模型的建立。早期的局部电磁感应和大地电磁测深方法都是假定源场均匀分布,1962年普赖斯首先研究了源场非均匀分布对测深结果的影响。在此期间除提出了特殊二维构造(例如无限长圆柱体)的解析理论外,还发展了研究一般局部构造的二维和三维数值方法和反演理论,使分析结果更加符合实际。
理论基础地球电磁感应的理论基础是分别求解地球内外电磁场所满足的方程。地球电磁场变化一般很缓慢,地球内部的位移电流很小,因此电磁场主要是由较强的区域向较弱的区域扩散,而不是以波动形式向外传播。地球内部介质是导体,电磁场满足扩散方程;地球外部介质可以看成绝缘体,磁场是保守场,磁势满足拉普拉斯方程。
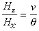
源场以及同全球电导率分布相应的感应场都是全球性的,这时所研究的问题是球体问题,必须根据球形导体地球内、外电磁场方程的解才能得到地面上感应场同源场,以及全球电导率分布的关系。根据这种关系,利用地面电磁场观测结果可以求得地球内部电导率的分布。对于局部的电导率分布,相应的感应场也局限于局部地区。这时可以把地球视为平面,所研究的问题是平面问题。对于频率为ω的周期性源场和地下电导率σ 均匀分布的平面地球模型,电磁场的分量在地面上满足
,
,
其中
。
式中v 除以 2π即为源场在水平面内的波数。v =0表示均匀源场。公式表明,在地面上测量电磁场的水平分量,就可以确定地下电导率,这就是早期大地电磁测深方法的基础。测量地磁场的垂直分量和水平分量,同样可以确定电导率,这就是地磁测深方法的基础。