[拼音]:henengji shouming celiang
[外文]:measurement of life-time of nuclear levels
原子核被激发后,可以在较高的能级上停留一段时间,此时间称为该能级的寿命。实验上测到的寿命是激发核(处在激发态的核)能级的平均寿命, 用τ表示。激发核是不稳定核,往往通过γ辐射向低能级或基态跃迁。跃迁几率λ=1/τ(见γ跃迁)。实验上测定τ之后,即可同采用某种核模型波函数计算的λ 比较,从而达到检验理论的目的。
测量τ 的方法有间接和直接测量两类。间接测量方法如库仑激发、γ共振、电子非弹性散射、同K系X射线寿命的比较等。直接测量法有延迟符合法、多普勒效应法、阻塞效应法等。
延迟符合法级联γ射线的中间态有一定的寿命,可以用测量这两条γ射线之间的延迟符合时间谱,去确定中间态的寿命;或者是利用加速器的脉冲束流,测量在脉冲束间隔内的延迟时间谱,以求出能级的平均寿命。这两种方法测量的时间范围一般在10-3~10-10s(符合技术见符合和反符合系统)。
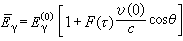
多普勒效应法如果核反应A(a,b)B*在薄靶中进行,则生成的激发核B*按动量守恒定律将以速度v(0)在真空中反冲。B*在反冲飞行中放出的γ射线能量E γ和在停止时放出的γ射线能量
之间有多普勒移动,而
, (1)
式中с是真空中的光速,θ是探测方向和B*反冲方向之间的夹角。如图1所示,当B*飞过一段距离D后, 被阻止器停止,这时发生的γ射线没有多普勒效应。分别测出不同反冲距离D时有和没有多普勒效应的两群不同能量的γ射线强度Is和I0,根据I0/(I0+Is)同D的指数衰减关系
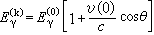
求出τ。这种方法称为反冲距离法(RDM)。此法要求所测的τ值大于B*在阻止物质中的特征慢化时间α[即具有速度 v(0)的B*的数目降到为原来的1/e的时间,一般α≈5×10-13s。
如τ﹤α,可用B*在物质中反冲的多普勒移动衰减法(DSAM)测来τ。此时B*的反冲速度 v(t)是时间t的函数,放出的γ射线能量为
。 (2)
求τ的方法有两种:
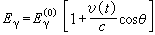
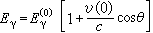
(1)当
时,式(2)可以写成
。 唕γ是γ 射线的平均能量,v(0)是初始速度。若θ1在和θ2角度处分别测量,则可利用
得到F(τ)的测量值,式中ΔE是在两个角度处测量的γ射线能量移动。另外,在近似情况下由 F(τ)=α/(α+τ)可得到F(τ)的计算值,将二者加以比较,从而得到最佳的τ。
(2)因反冲速度v(t)是时间t的函数,其数值从 v(0)衰减到零,所以测量的γ射线能量也在
和
之间有一个分布。如果能级寿命很短,则在反冲核未停止之前多已衰变, 放出的γ射线能量多接近完全移动时放出的能量
。如果能级寿命很长,则多数反冲核只有在被阻止后才衰变,放出γ射线的能量多接近
。如图2可见,能量分布图形同核能级寿命τ有关。因此从Eγ 的分布图形可以决定τ。
阻塞效应法
晶体点阵上的原子核发生反应形成的复合核放出带电粒子退激发(图3)。当B*的反冲速度垂直分量v寑满足v寑τ﹤α时(α为屏蔽半径),放出的粒子被阻塞。即角分布有深的阻塞谷P0。若v寑τ≥α,则谷变浅为P1。根据谷中粒子数的变化,可以推断出复合核态的寿命。可测寿命范围约在10-14~10-18S。
- 参考书目
- A. Z. Schwarzschild and E.K.Warburton, Ann.Rev. Nucl.Sci., Vol. 18, p.265, 1968.
- W.W.Gibson,Ann.Rev.Nucl.Sci.,Vol.25,P.465, 1975.