[拼音]:zaosheng
[外文]:noise
从物理本性上可分为电噪声和声噪声两大类。前者是由于电磁扰动产生的,是相对于电信号的一种干扰;后者是由于机械扰动引起的,是机械噪声。本条主要讲声噪声以及对声信号产生干扰的电噪声。
从声波的物理性质来说,噪声是紊乱、断续或统计上随机的声振动。单频的声音称为纯音,具有与基频成整倍数比例关系的谐波的声音称为谐音。这些都是有调的和谐音。与此相对,噪声称为无调声。
从声波对人的干扰来说,噪声是不需要的声音,它可以是无规的,也可以是谐和的。从这个角度讲,噪声是由人们在不同的环境中判定为不需要或有干扰的声音,因此它是由人们的主观评价或引起的生理损伤来决定的。噪声的评价标准最终要由对人的干扰或危害来确定(见噪声对人的影响)。
噪声的描述噪声在频率域内可用频谱来描述。谐音具有离散谱或线谱,无调声具有连续谱。带宽为1Hz的单位频带中的能量称为谱密度D(ω), 单位时间的谱密度称为功率谱密度S(ω)。在足够长的时间T上平均,有S(ω)=D(ω)/T 的关系。
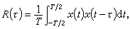
噪声在时间域上的特性可用自相关函数 R(τ) 来表述。在足够长的时间T上平均
式中x(t)是噪声振幅的瞬时值,可以是振动的位移、速度、加速度或力,也可以是声场中的声压或质点速度。功率谱密度S(ω)和自相关函数R(τ)满足傅里叶变换
噪声的类别
按噪声振幅瞬时值x(t)随时间的变化规律,可分为有规噪声和无规噪声。各种机械和气流产生的噪声,属有规噪声,这种噪声的x(t)完全可以由机械运动和流体特性所确定。相反,交通噪声、多个声源产生的背景噪声或热扰动产生的噪声,x(t)不能由预先给定的函数确定,只遵从某种统计分布的规律,这种噪声称为无规噪声。无规噪声的自相关函数R(τ)一般随着τ迅速下降。
按噪声谱密度的性质来区分,有白噪声和粉红噪声。谱密度D(ω)为常数的噪声, 称为白噪声。因此,白噪声用固定带宽的分析器测量时,频谱具有连续且均匀的特性。无规噪声不一定满足D(ω)为常数的条件, 所以无规噪声不一定是白噪声。反之,白噪声也不一定是无规噪声。用恒定百分率带宽的分析器测量时具有连续且均匀频谱的噪声, 称为粉红噪声。粉红噪声的谱密度D(ω)随着ω均匀地下降。粉红噪声也不一定是无规噪声。
参考文章
- 违反关于社会生活噪声污染防治的法律规定,制造噪声干扰他人正常生活的,处警告;警告后不改正的,处()生活安全
- 环境污染有不同的类型,因目的、角度的不同而有不同的划分方法,如按污染物的形态分为废气污染、废水污染、噪声污染、__知识题库
- 对以空气柱震动引发的空气动力性噪声的洽理,一般采用__措施知识题库
- 噪声污染是指所产生的环境噪声超过国家规定的环境噪声排放标准,并干扰他人正常工作、学习、生活的现象。我们常说的噪声污染是指知识题库
- 节能减排是指节约物质资源和能量资源,减少废弃物和环境有害物(包括“三废”和噪声等)排放;狭义而言,节能减排是指节约能源和知识题库
- 磁悬浮列车速度快、无噪声、无污染、无振动,它所使用的材料主要是知识题库
- 噪声是指在工业生产、建筑施工、交通运输和社会生活中所产生的干扰周围生活环境的声音。根据上述定义,下列属于噪声的是__知识题库
- 《中华人民共和国环境噪声污染防治法》所指“夜间”施工是指( )之间的期间。生产安全
- 人如果长时间暴露在()噪声环境中将导致永久性的听力损伤。生产安全
- 治理噪声危害时应优先采用哪种方法?生产安全