[拼音]:jinghe
[外文]:crystal nucleus
结晶过程中首先形成的晶体的胚芽。结晶过程是一个相变过程。在开始由气相或液相形成晶相时,一般说是很困难的,原子或分子在气相或液相的吉布斯函数很高,必须在很大程度上降低其分子熵才能形成晶核。
晶核可以由均相成核或非均相成核两种过程形成。均相成核是指在大体积过饱和体系中自然形成晶核,体系各部分成核的几率相同。非均相成核是指晶核优先形成在外来粒子或器壁上。
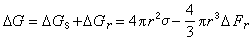
均相成核的理论解释是基于经典热力学的分析。其基本思想是把成核视为过饱和蒸气或溶质的凝聚。这个体系吉布斯函数的改变(ΔG)包括半径为r 的晶核形成时的体系吉布斯函数的改变 (ΔGr)和表面能的增加(ΔGs)两个部分,设晶核近似为球形,则:
式中ΔFr表示晶核单位体积的吉布斯函数变量;σ表示晶核单位面积的表面能。晶核在形成时,一定要超过临界半径值rc。再继续长大时,其体系吉布斯函数就会降低,晶核才能稳定生长。这个经典的成核理论虽然经常为人们所引用,但由于它把宏现的热力学量用于极微小的晶核,故只是一种近似的处理。
非均相成核的理论是在均相成核经典理论的基础上发展起来的。它能定性地说明在什么条件下外来粒子可以使晶核优先在这里形成,解释了一些结晶现象。