塞曼效应

浏览

光谱线在磁场中分裂的现象。在中够强的磁场中,原子发射的光谱线会分裂成几条。分裂后谱线的间隔与磁场强度成正比;谱线成分沿磁场方向观察是左、右圆偏振光,而沿垂直磁场方向观察是互相垂直的两种线偏振光。这个现象是P.塞曼在1896年发现的。

塞曼效应的经典理论解释是H.A.洛伦兹首先提出的。历史上将符合洛伦兹理论的谱线分裂现象称为正常塞曼效应,而将其他不符合洛伦兹理论的谱线分裂现象称为反常塞曼效应。量子力学理论能够全面地解释塞曼效应。

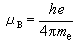
原子能级在磁场中分裂为 2J+1个磁能级(J为原子总角动量量子数),其中每一个磁能级相对于原来能级的移位ΔE

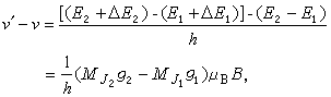
式中M为原子总磁量子数,g为朗德因子(见原子磁矩),玻尔磁子,B为磁感应强度。如果谱线由能级E2E1间的跃迁产生,则加磁场后谱线频率移位

也可表示成

式中λ′和λ是对应于频率v′和v的谱线波长,为洛伦兹单位。

塞曼效应的选择定则(见跃迁几率)为

从塞曼效应的实验数据可以推断有关能级的分裂情况;例如从磁能级间距和数目可以知道gJ值。这样就获得了原子态的重要资料。研究塞曼效应是研究原子结构的重要途径之一。

正常塞曼效应

红线(波长为 643.8nm)是镉原子1D2─→1P1跃迁的结果。单重态能级朗德因子g值为1,MJ2=2,1,0,-1,-2,MJ1=1,0,-1。可见镉红线的塞曼效应共有9种跃迁,但因属于不同频率的跃迁只有三种,所以只分裂为3条谱线,每条包含3种跃迁。垂直磁场观察原谱线位置不变,左右二条同中间原谱线的波数差等于一个洛伦兹单位L,它们分别是与磁场方向平行和垂直的线偏振光;沿磁场方向观察,原谱线消失,左右两谱线是旋向相反的圆偏振光(图1)。

图1 图2 反常塞曼效应

钠589.0nm和589.6nm黄双线的塞曼效应属于反常塞曼效应,是钠原子31P1/2,3/2→32S1/2跃迁的结果。相应能级的朗德因子gMJ值见下表。

图

钠黄双线的塞曼效应及有关能级和跃迁见图2。可见波长为589.0nm的谱线在磁场中分裂成6条谱线,相邻谱线的波数差都是;波长为589.6nm的谱线在磁场中分裂成4条,两边相邻谱线的波数差为,中间两条谱线则相差。分裂后原谱线不再出现。

对塞曼效应偏振的解释

研究塞曼效应可知偏振的规律是产生σ偏振;ΔMJ=0产生π偏振,σπ分别作为电矢量垂直和平行于磁场的谱线标记。在辐射过程中,为保持体系角动量守恒,当ΔMJM挃-M挀=1时,原子在磁场方向的角动量减少,则发出光子的角动量在磁场方向应等于;当ΔMJ=-1时,则光子的角动量必定与磁场方向相反。光子是向各方向发出的,在垂直于磁场方向观察,所观察到的是线偏振光。当ΔMJ=0时,原子在磁场方向的角动量不变,实验观察到的只有沿磁场方向的线偏振光。

帕邢-巴克效应

如果磁场很强,能级的塞曼分裂超过由LS 耦合所产生的多重能级分裂,这时磁场破坏了电子自旋与轨道之间的耦合而使自旋和轨道角动量分别绕磁场进动。在强磁场中磁能级的移位:

其中,跃迁的选择定则是:

图3给出2S能级到2P能级在强磁场下出现帕邢-巴克效应时的能级分裂和谱线结构。可见在强磁场中,由于选择定则的限制只能出现正常塞曼效应。

图3

若考虑到还存在较弱的LS 耦合的影响,每一谱线成分还有一定的双重精细结构。