Ô­×ӴžØ

ä¯ÀÀ

ͨ³£Ö¸Ô­×ӵĴÅż¼«¾Ø¡£Ô­×ӴžØÀ´Ô´ÓÚµç×ӴžغÍÔ­×Ӻ˴žء£µ«Ô­×Ӻ˵ĴžغÜС£¬Ô¼±Èµç×ӵĴžØÐ¡Èý¸öÊýÁ¿¼¶£¬Ò»°ã¿ÉÒÔºöÂÔ£¬Òò´ËÔ­×ӴžØÍ¨³£ÊÇÖ¸µç×ӵĴžء£ÔÚÁ¿×ÓÁ¦Ñ§³öÏÖ֮ǰ£¬E.°Í¿ËºÍA.ÀʵÂÔÚÑо¿Ô­×ÓÆ×ÏßµÄÈûÂüЧӦʱ¾ÍÒÑÑо¿¹ýÔ­×ӵĴžأ¬Á¿×ÓÁ¦Ñ§³öÏÖÖ®ºó£¬½øÒ»²½¼ÓÉîÁËÈËÃǶÔÔ­×ӴžصÄÈÏʶ¡£

µç×ӴžØ

µç×ӴžØÓɵç×Ó¹ìµÀ´Å¾ØºÍµç×Ó×ÔÐý´Å¾Ø×é³É¡£Ô­×ÓÖеç×ÓÈÆºËÔ˶¯£¬Ðγɻ·ÐεçÁ÷£¬ºÜÏñ¸ö´ÅÐÔż¼«×Ó¡£ÕâÖÖ¹ìµÀÔ˶¯²úÉúµÄ´Å¾Ø£¬³ÆÎªµç×Ó¹ìµÀ´Å¾Ø¦Ìl¡£µç×Ó»¹¾ßÓйìµÀ½Ç¶¯Á¿pl¡£¦ÌlºÍplÔÚ¿Õ¼äijһz·½ÏòÉϵķÖÁ¿·Ö±ðΪ

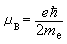
ʽÖÐmlΪµç×Ó¹ìµÀ´ÅÁ¿×ÓÊý£¬£¬³ÆÎª²£¶û´Å×Ó£¬Êǵç×ӴžصÄÒ»¸ö×ÔÈ»µ¥Î»¡££¬hΪÆÕÀʿ˳£Êý£¬meΪµç×ÓÖÊÁ¿£¬ eΪµç×ÓµçºÉµÄ¾ø¶ÔÖµ¡£µç×Ó¹ìµÀ´Å¾ØÓë¹ìµÀ½Ç¶¯Á¿µÄ¹ØÏµÎª

ʽÖÐgl=1³ÆÎªµç×Ó¹ìµÀÔ˶¯µÄgÒò×Ó£¬ËüÊÇÒÔ¦ÌBΪµ¥Î»µÄ¹ìµÀ´Å¾ØÓëÒÔ‹tΪµ¥Î»µÄ¹ìµÀ½Ç¶¯Á¿Ö®±ÈµÄ¾ø¶ÔÖµ¡£

µç×Ó¾ßÓÐ×ÔÐýÔ˶¯£¬×ÔÐý½Ç¶¯Á¿µÄ´óС²»±ä£¬³ÆÎªµç×ӵĹÌÓоØps¡£µç×Ó»¹¾ßÓÐÏàÓ¦µÄ×ÔÐý´Å¾Ø¦Ìs£¬psºÍ¦ÌsÔÚ¿Õ¼äijһz·½ÏòÉϵÄͶӰֻÄÜÈ¡Á½¸öÖµ£¬·Ö±ðÊÇ

£¬

µç×Ó×ÔÐý½Ç¶¯Á¿Óë×ÔÐý´Å¾ØµÄ¹ØÏµÎª

msΪµç×Ó×ÔÐý´ÅÁ¿×ÓÊý£¬gs³ÆÎªµç×Ó×ÔÐýµÄgÒò×Ó£¬ËüµÈÓÚÒÔ¦ÌBΪµ¥Î»µÄµç×Ó×ÔÐý´Å¾ØÓëÒÔ ‹tΪµ¥Î»µÄµç×Ó×ÔÐý½Ç¶¯Á¿Ö®±ÈµÄ¾ø¶ÔÖµ¡£°´ÕÕµÒÀ®¿ËÀíÂÛ£¬gs=2£»µ«°´ÕÕÁ¿×ӵ綯Á¦Ñ§µÄ¼ÆËãºÍ½ü´úʵÑéµÄ¾«È·²â¶¨Ö¤Êµ

gs£½2.0023193134(70)¡£

µ¥µç×ÓÔ­×ӵĴžØ

¼´Óɵ¥µç×ӵĹìµÀ´Å¾Ø ¦ÌlÓë×ÔÐý´Å¾Ø¦ÌsºÏ³É£¬×ܴžئÌjÊǦÌlÓë¦ÌsµÄʸÁ¿ºÍ£¬¼´

pl¡¢ps·Ö±ð±íʾµç×Ó¹ìµÀ½Ç¶¯Á¿ºÍ×ÔÐý½Ç¶¯Á¿¡£

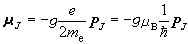
Ô­×ÓµÄ×ܴžئÌjÓë×ܽǶ¯Á¿µÄ¹ØÏµÎª

¡£

ʽÖÐ ³ÆÀʵ gÒò×Ó¡£

µ±´Å¾ØÎª¦ÌjµÄÔ­×Ó´¦ÓڴŸÐӦǿ¶ÈΪB µÄÈõ´Å³¡ÖУ¬»áÒýÆðÄܼ¶µÄ¸Ä±ä£¬µ¼ÖÂÔ­×ÓÆ×ÏߵķÖÁÑ£¬³ÆÎªÈûÂüЧӦ¡£Äܼ¶·ÖÁѳÉΪ

£¬

EΪÎ޴ų¡Ê±µÄÄÜÁ¿£¬§ÞΪ´ÅÁ¿×ÓÊý¡£

¶àµç×ÓÔ­×ӵĴžØ

¶àµç×ÓÔ­×Ó£¬ÔÚÒ»°ãÇé¿ö£¨Ô­×Ó½ÏÇáºÍ´¦ÓÚ»ù̬£©Ï£¬µç×ÓÖ®¼äµÄ¿âÂØÏ໥×÷ÓÃÊÇÖ÷ÒªµÄ£¬×ÔÐý¹ìµÀ¼äµÄÏ໥×÷ÓÃÊÇ´ÎÒªµÄ£¬Õâʱԭ×ÓµÄ×ܽǶ¯Á¿°´LS ñîºÏ·½Ê½ñîºÏ¶ø³É£¬¼´Ô­×Ó×ܽǶ¯Á¿

£¬

Ô­×ÓµÄ×ܴžئÌJÔòΪ

£¬

ʽÖÐÀʵÂgÒò×ÓÓëµ¥µç×ÓÔ­×ÓÓÐÏàͬµÄÐÎʽ¡£

ÔÚijЩÇé¿ö£¨Ô­×Ó½ÏÖØ»ò´¦Óڸ߼¤·¢Ì¬£©Ï£¬µç×Ó×ÔÉíµÄ×ÔÐý¹ìµÀÏ໥×÷ÓÃÊÇÖ÷ÒªµÄ£¬µç×ÓÖ®¼äµÄÏ໥×÷ÓÃÊÇ´ÎÒªµÄ£¬Õâʱԭ×ÓµÄ×ܽǶ¯Á¿°´jj ñîºÏ·½Ê½ñîºÏ£¬Æä×ܽǶ¯Á¿£¬ÔòÔ­×ÓµÄ×ܴžØ

ÓëLS ñîºÏÓÐÏàͬµÄÐÎʽ£¬µ«gÒò×Ó²»Í¬¡£

Ô­×ӵĴžؿÉͨ¹ýË¹ÌØ¶÷£­¸ïÀ­ºÕʵÑéµÄ·½·¨²âÁ¿¡£ÊµÑéÖÐÔ­×ÓÊøÍ¨¹ý²»¾ùÔȴų¡£¬¿ÉÓɲⶨԭ×ÓÊøµÄƫת³Ì¶È£¬Ö±½ÓµÃµ½¸ÃÔ­×ӴžØÔڴų¡·½ÏòÉϵķÖÁ¿£¬²¢¿É½øÒ»²½¸ù¾ÝÔ­×ÓÊø·ÖÁѵķÖÊøÊý£¬¼ÆËã³öÔ­×Ó×ܴžء£Èç¹ûʵÑéÓÃÒø¡¢ÇâµÈÔ­×Ó£¬ËüÃǵĻù̬ΪS̬£¬Ô­×Ó±¾Éí¹ìµÀ½Ç¶¯Á¿ÎªÁ㣬¹ìµÀ´Å¾ØÒ²ÎªÁ㣬ËùÒÔʵÑé²âµÃµÄ´Å¾ØÊǵç×ӵĹÌÓдžأ¬ÆäֵΪһ²£¶û´Å×Ó¡£

Ô­×ӴžØÊÇÎïÖÊ´ÅÐÔµÄ΢¹Û»ù´¡¡£P.ÀÊÖ®ÍòµÄ˳´ÅÐÔÀíÂÛºÍP.-E.Íâ˹µÄÌú´ÅÐÔÀíÂÛ£¬¾ÍÊǸù¾ÝÔ­×Ӵžغʹų루ԭ×ӴžØ×Ô·¢Æ½ÐÐÅÅÁжøÐγɵÄÐ¡ÇøÓò£©´Å¾ØÔÚÍⳡÖеÄÈ¡Ïò·þ´Óͳ¼Æ·Ö²¼£¬À´ËµÃ÷˳´ÅºÍÌú´ÅÎïÖʵĴÅÐÔ¡£