[拼音]:tianti shedian de dingbiao
[外文]:calibration of celestial radio radiation
对天体射电流量密度的校准。天体的射电流量密度表征着天体射电的最基本的特征。对天体射电各种性质的研究,如频谱、分布等,都离不开对射电流量密度的准确测量。因此,天体射电定标和射电源的准确定位,对射电天文有很重要的意义。
绝对定标和相对定标按定标方法的性质不同可分为两类:一是绝对定标,用绝对的方法定出一些标准射电源在各个频率上的流量密度;一是相对定标,利用已知的标准射电源,用比较方法定出分布范围更广、强度范围更大的次级标准射电源。利用这两类标准源可测出待测源的流量密度谱。标准源的条件是:角径小(与天线波束宽度相比),偏振特性已知,频谱较平坦、较强或强度适中,附近天区背景变化较平缓,在天球上分布较均匀等。利用已定标的射电天体,可为大型天线的校准提供极为便利的条件,这是地面校准源所无法比拟的。事实上,这在目前几乎是唯一的手段。
点源的定标和面源的定标按射电源的大小可分为点源定标和面源定标。所谓点源和面源,只是相对于天线的波束宽度而言。
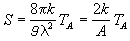
(1)点源定标:射电源的角径远远小于天线的波束宽度,设天线有效面积为A,测得的射电源功率为天线温度TA,则源的流量密度
, (1)
式中g=4πA/λ2为天线增益,λ为接收的电磁波的波长,k为玻耳兹曼常数。对点源的绝对定标,必须已知天线有效面积A(或天线增益g),并测出源的天线温度TA;而相对定标,只需作标准源及待测源的天线温度比的测量。在定标问题上,天线温度TA的测量可以看作是对射电辐射计的校准。对于一个对输入功率呈线性响应的辐射计,可以用两个标准的噪声电平来测定天线温度TA。通常用某种黑体辐射源充当噪声标准,它的噪声功率输出的绝对值要求精度优于1%。为了使用方便,也常用噪声二极管(在米波段、分米波段)和充以惰性气体氖、氩等的气体放电噪声管(在厘米波段、短分米波段)作为二级噪声标准。在厘米波段还有用天线指向天顶时的天线温度作为标准的。此外,当记录来自射电源的天线温度TA时,必须仔细地分离出背景辐射(宇宙背景、大气辐射、环境辐射等)的影响。
绝对定标是射电流量密度定标的基础,其中关键为测定天线有效面积A(天线增益g)。事实上,相对定标也是利用已知的标准源的射电流量密度来间接地求出天线有效面积。天线增益的测量在无线电工程中也是一个很困难的问题。射电天文技术上常用的方法是用结构简单的天线(如喇叭天线、振子天线)作标准天线。它们的增益由理论公式计算。但标准天线增益太低,在大多数情况下不足以测量待测的射电源,因而需要用逐步过渡的方法,即将标准天线与较大的天线同时观测强射电源,用(1)式求出较大天线的增益,然后还可向更大的天线过渡。也有人用传统的转台法,或人造黑盘法等来测出天线增益,但精度都不如前述方法。
(2)面源定标:对面源(一般指天空一部分,所谓天区)亮温度的定标也可分为绝对的和相对的两种。相对测量即测待测天区相对于较暗的参考天区的天线温度增值,此时天线温度简化为:
ΔTA=ηB(堟B)主
式中(堟B)主为天线主瓣立体角内天区的平均亮温度,ηB为天线主波束效率,对较好的天线约为0.7~0.8,可以用其他方法定出。由此可测得天区相对于参考天区的相对亮温度。面源的绝对测量除了需要极为精密的实验手段外,还必须对各项因素作细致的分析。当天线指向某一天区时,天线温度中除包括天区本身的辐射外,还包括大气辐射、天线本身的噪声、从天线旁瓣和后瓣进入的地面辐射。性能良好的天线可以尽量减少后两项的影响。在总的天线温度中扣除了这三项影响,就得到天区的绝对亮温度。这项工作是极为困难的,例如,当天线指向需要绝对测定的参考天区时,邻近的亮区可能从天线主瓣外进入更多的辐射。然而,这项工作也极为重要,著名的微波背景辐射的发现,就是它的一项直接的成果。
太阳射电定标太阳射电定标和宇宙射电定标,因二者强度相差悬殊而有些不同,但要解决的基本问题则是一样的。通常测太阳只需用小天线,而小天线的校准比大天线的校准容易得多。另一方面,由于太阳离地球较近,必须考虑地球轨道为椭圆形而产生的日地距离的变化。太阳射电定标的一致性虽已达到,但因为观测太阳射电是一项常规任务,所以还有长时期内保持相对测量稳定的问题。
厘米波段、分米波段和米波段定标天体射电定标在厘米波段和短分米波段已经得到较好的解决。例如,太阳射电的定标可达5%以内的精度,长期稳定性达2%;目前对若干最强射电源(如仙后座A、天鹅座A、金牛座 A等)的绝对定标,通过综合多种测量的结果可达2%的精度,而相对测量的精度可达5%左右。对面源(天区)的精度约10~20%。但是在米波段由于建立标准天线的困难和天空背景影响的复杂,精度要差得多。由于许多重要的宇宙射电源流量时有变化,同时射电天文使用的波段不断向长波和短毫米波段扩展,以及经过绝对定标的源还很少等原因,射电定标工作尚需作进一步的努力。
- 参考书目
- H.Tanaka et al.,Absolute Calibration of Solar Radio Flux Density in the Microwave Region,Solar Physics,Vol.29,pp.243~262,1973.