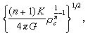
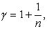
多层球 中国大百科编者 / 2016-10-28 浏览 [拼音]:duocengqiu [外文]:polytrope 恒星可认为是由其内部物质在压力与自引力达到平衡时所构成的体系。因此,恒星内部结构依赖于物质的物态方程。在许多情况下,物态方程具有形式:P=Kργ,称为多方物态方程。式中 P和ρ分别为物质的压力和密度;K为常数;γ称为多方指数,或写成n称为多方指标。以多方物态方程为基础而建立的星体模型,称为多层球,多方指标为n的多层球的基本方程是: 式中为中心密度,A =G为万有引力常数,这方程称为莱恩-埃姆登方程,已有详细的数值解。 阅读全文