[拼音]:Zuidamo yuanLi
[外文]:maximum modulus principle,maximum principle
复变函数论中有关函数值的模的一个重要而有用的定理,断言解析函数的模在区域内部不能达到极大值,除非它是常数函数。这一原理可具体表述如下:设ƒ(z)为有界域G内全纯并在
上连续的函数,以M(дG,ƒ)表示|ƒ(z)|在G的边界дG上的最大值,则在G内恒有|ƒ(z)|<M(дG,ƒ),除非ƒ(z)是一常数,此时其模│ƒ(z)│呏M(дG,ƒ)。
这个定理能由解析函数所实现的映射的拓扑性质得到直接的说明,即非常数的解析函数将开集映为开集;同样也能由分析的观点来证明,即根据柯西积分公式,函数ƒ(z)在域G 内任一闭圆盘|z-z0|≤r的圆心之值等于它在圆周上积分值的算术平均数。由此可知非常数的全纯函数其模不能在 G内取得最大值。这一原理在函数论中有着很广泛的应用,以这个定理为根据的证明都非常简明。
阿达马三圆定理由最大模原理可以导出,非常数整函数ƒ(z)在圆|z|=r上的最大模M(r,ƒ)是r的增函数。J.(-S.)阿达马于1896年更进一步证明最大模的对数是lnr的凸下增函数,这一结果被称为阿达马三圆定理。它可表述如下:设ƒ(z)在圆环r1≤|z|≤r2上全纯,以M(rk,ƒ)表示ƒ(z)在|z|=rk(k=1,2,3)上的最大模,则对r1≤r3≤r2有
或者改写为
。
上式还说明ƒ(z)在圆环内任一同心圆上的最大模能由它在圆环内、外圆周上的最大模来控制。
波莱尔-卡拉西奥多里定理关于全纯函数的最大模和其实部的最大值之间关系的一个定理。它首先由(F.-É.-J.-) É.波莱尔得到,后由C.卡拉西奥多里改进。如所知,一解析函数实质上由其实部所确定。由施瓦兹公式立即可以得到M(r,ƒ)的估计,它由其实部在较大的同心圆上的最大模和│ƒ(0)│所给出。应用最大模原理可以简捷地得到更精确的结果。
设ƒ(z)在|z|≤R上全纯,以A(R)表其实部在|z|=R上之最大值,则有
。
值得注意的是上式A(R)不是ƒ(z)的实部在│z│=R上的最大模,这点在一些应用中(如整函数的研究中)有着重要的意义。
菲拉格芒-林德勒夫定理最大模原理的重要推广。它由菲拉格芒、E.L.林德勒夫1908年得到,可叙述如下:设 G是由原点出发的两条半直线之问的角域,其张角为απ(0<α≤2),又设ƒ(z)在G内及其边界直线上全纯,若在此两直线上有|ƒ(z)|≤M,且G在内满足
,式中
,则当│z│→∞时,在G内恒有
。
这个定理说明在角域内全纯的函数,如果它在角域内满足某个与角域张角有关的增长性条件,则它在G内的模能由其边界直线上的最大模来控制。这个定理有许多其他的形式和进一步的研究,并且在整函数的渐近值,解析数论和狄利克雷级数论的研究中有重要的应用。
施瓦兹引理复变函数几何理论中具有深远影响的基本定理,它首先由H.A.施瓦兹所发现。下面叙述的形式和它的经典证明是1912年由卡拉西奥多里所给出的。
设ƒ(z)在单位圆D内全纯,且│ƒ(z)│<1,若ƒ(0)=0,则|ƒ(z)|≤|z|和│ƒ┡(0)│≤1。第一个关系式当z=0时等号成立。除此之外,此两个关系式当且仅当ƒ(z)=eiαz(α是实数)时等号成立。
这个引理的简单几何意义是,如w=ƒ(z)映z=0为w=0,且单位圆 D 的像ƒ(D)含于w平面的单位圆内,则任一闭圆Dr:│z│≤r之像ƒ(Dr)含于w平面的闭圆│w│≤r内,且只当ƒ(z)=eiαz时,映射是将原圆绕原点旋转。
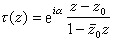
应用施瓦兹引理立即得到单位圆到自身的一一的共形映射是麦比乌斯变换
,
式中|z0|<1,α为一实数。1916年,G.皮克注意到施瓦兹引理可以有一个在上述麦比乌斯变换下不变的形式,它可放弃ƒ(0)=0的条件。
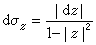
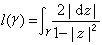
设在D内考虑双曲度量,其线元素为
,并定义可求长曲线у的双曲长度为
,D内两点的双曲距离ρ(z1,z2)是D内连结此两点的曲线的双曲长度的下确界,可测集E的双曲测度为
。
显然上述诸量在麦比乌斯变换下是不变的。皮克的不变形式的施瓦兹引理叙述如下:映单位圆入自身的解析映射使得两点间的双曲距离,曲线的双曲长度和集合的双曲测度缩小,仅当映射是上述麦比乌斯变换时,这些量保持不变。
施瓦兹引理还有更为精致和反映曲率性质的一般形式,并在多复变函数论中得到相应的结果。
- 参考书目
- L.V.Ahlfors,ConforMal Invariants Topics in Geometric Function Theory, McGraw-Hill,New York,1973.
- E.C.Titchmarsh,The Theory of Functions, OxfordUniv.Press,London,1939.